【药物名称】Sitamaquine hydrochloride, Q45, WR-6026
化学结构式(Chemical Structure):
参考文献No.55374
标题:Process for production of 8-NHR quinolines
作者:Chen, E.H.; Saggiomo, A.J.; Nodiff, E.A. (Department of the Army)
来源:US 4167638
合成路线图解说明:

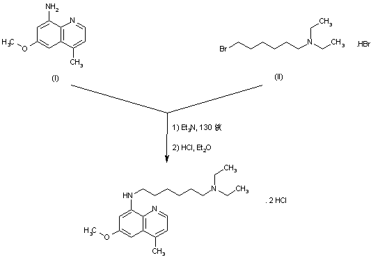
The title compound was prepared by heating 8-amino-6-methoxylepidine (I) with 6-(diethylamino)hexyl bromide (II) in the presence of Et3N, and was then converted to the corresponding dihydrochloride salt.

Drug Information Express,Drug R&D,Chemical Database,Patent Search.
Copyright © 2006-2026 Drug Future. All rights reserved.Contact Us