【药物名称】Saprisartan, GR-138950C(K salt), GR-138950X, GR-138950
化学结构式(Chemical Structure):
参考文献No.19307
标题:1H-Imidazol-1-yl-methyl benzofuran derivs. with the imidazolyl moiety being substd. by a cycloalkyl group
作者:Ross, B.C.; Middlemiss, D.; Scopes, D.I.C.; Jack, T.I.M.; Cardwell, K.S.; Dowle, M.D.; Judd, D.B.; Watson, S.P. (Glaxo Wellcome plc)
来源:EP 0514198; JP 1994211846; US 5498722; WO 9220674
合成路线图解说明:

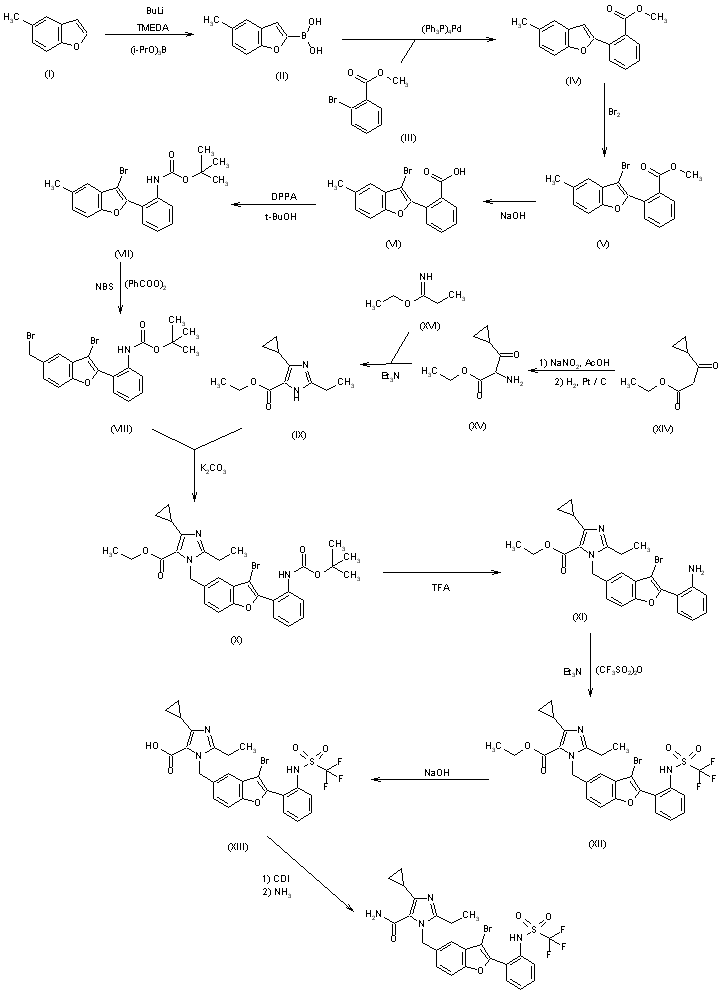
1) The reaction of 5-methylbenzofuran (I) with triisopropyl borate by means of butyllithium and tetramethylethylenediamine (TMEDA) in ethyl ether gives 5-methylbenzofuran-2-boronic acid (II), which is condensed with methyl 2-bromobenzoate (III) by means of tetrakis(triphenylphosphine)palladium yielding 2-(5-methylbenzofuran-2-yl)benzoic acid methyl ester (IV). The bromination of (IV) with Br2 in CCl4 affords 2-(3-bromo-5-methylbenzofuran-2-yl)benzoic acid methyl ester (V), which is hydrolyzed with NaOH in refluxing methanol to the corresponding benzoic acid (VI). The reaction of (VI) with diphenylphosphoryl azide (DPPA) and tert-butanol in dioxane gives N-[2-(3-bromo-5-methylbenzofuran-2-yl)phenyl]carbamic acid tert-butyl ester (VII), which is brominated with N-bromosuccinimide (NBS) and benzoyl peroxide to the corresponding bromomethyl derivative (VIII). The condensation of (VIII) with 4-cyclopropyl-2-ethylimidazole-5-carboxylic acid ethyl ester (IX) by means of K2CO3 in DMF affords 1-[3-bromo-2-[2-(tert-butoxycarbonylamino)phenyl]benzofuran-5-ylmethyl]-4-cyclopropyl-2-ethylimidazole-5-carboxylic acid ethyl ester (X), which is treated with trifluoroacetic acid to eliminate the carbamate group, yielding compound (XI) with a free amino group. Acylation of (XI) with trifluoromethanesulfonic anhydride in dichloromethane gives the sulfonamide (XII), which is treated with NaOH in hot aqueous methanol to hydrolyze the ethyl ester group and isolate the carboxylic acid (XIII). Finally, this compound is treated first with carbonyldiimidazole (CDI) in THF and then with ethanolic ammonia. 2) The intermediate imidazole (IX) is obtained by reaction of ethyl 3-cyclopropyl-3-oxopropanoate (XIV) with NaNO2 and acetic acid, followed by hydrogenation with H2 over Pt/C in ethanol to give ethyl 2-amino-3-cyclopropyl-3-oxopropanoate (XV), which is then cyclized with propionimidic acid ethyl ester (XVI) by means of triethylamine in ethanol.

合成路线图解说明:

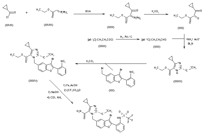
3) The condensation of 2-hydroxy-5-methylbenzaldehyde (XVII) with 2-nitrobenzyl alcohol (XVIII) by means of methanesulfonyl chloride and K2CO3 in dioxane/dimethylacetamide gives 5-methyl-2-(2-nitrobenzyloxy)benzaldehyde (XIX), which is cyclized by means of NaOMe in dimethylacetamide, yielding 5-methyl-2-(2-nitrophenyl)benzofuran (XX). The bromination of (XX) with Br2 and azobis(isobutyronitrile) (AIBN) in 1,1,1-trichloroethane affords 3-bromo-5-(bromomethyl)-2-(2-nitrophenyl)benzofuran (XXI), which is condensed with 4-cyclopropyl-2-ethylimidazole-5-carboxylic acid ethyl ester (IX) (already obtained in the preceding Scheme) by means of K2CO3 in dimethylacetamide to give 1-[3-bromo-2-(2-nitrophenyl)benzofuran-5-ylmethyl]-4-cyclopropyl-2-ethylimidazole-5-carboxylic acid ethyl ester (XXII). The reduction of (XXII) with Fe in ethanol/acetic acid yields the corresponding amino derivative (XI) already described, which is converted into the final product as described in Scheme 19090801a. 4) [13C]-Labeled saprisartan has been synthesized as follows: The decarboxylative iodination of 1-[3-bromo-2-(2-nitrophenyl)benzofuran-5-ylmethyl]-4-cyclopropyl-2-ethylimidazole-5-carboxylic acid ethyl ester (XXII) (already described in Scheme 2) by hydrolysis with NaOH in refluxing methanol, followed by reaction with iodine yields the corresponding 5-iodoimidazole derivative (XXIII), which is treated with [13C]-labeled potassium cyanide and copper iodide in DMF to afford the labeled imidazole-5-carbonitrile derivative (XXIV). The reduction of the nitro group of (XXIV) with iron filings in acetic acid/water yields the corresponding amino derivative (XXV), which is acylated with trifluoromethanesulfonic anhydride and triethylamine to give the sulfonamide (XXVI). Finally, the cyano group of (XXVI) is selectively hydrolyzed with aqueous ammonia and hydrogen peroxide to afford saprisartan labeled at the carboxamide group. 5) [14C]-Labeled saprisartan has been synthesized by the same synthetic sequence described previously for the [13C]-labeled compound.

合成路线图解说明:

6) Mass labeled saprisartan has been obtained as follows: The Wittig condensation of cyclopropylcarbonyl chloride (XXVII) with ethoxycarbonylmethylene triphenylphosphorane (XXVIII) by means of bis(trimethylsilyl)acetamide in dichloromethane gives 3-cyclopropyl-3-oxo-2-(triphenylphosphoranylidene)propionic acid ethyl ester (XXIX), which is oxidized with potassium peroxymonosulfate to the dicarbonyl compound (XXX). The cyclization of (XXX) with [all-13C]-propionaldehyde (XXXI) (obtained by hydrogenation of the corresponding acyl chloride (XXXII) with H2 over Pd/C in THF containing 2,6-lutidine) and [15N]-ammonium acetate by means of triethylamine in THF yields 4-cyclopropyl-2-[1,2-13C]-ethyl-[1,3-15N,2-13C]imidazole-5-carboxylic acid ethyl ester (XXXIII). The condensation of (XXXIII) with the benzofuran (XXI) (already described in Scheme 2) by means of K2CO3 in dimethylacetamide affords 1-[3-bromo-2-(2-nitrophenyl)benzofuran-5-ylmethyl]-4-cyclopropyl-2-[1,2-13C]-ethyl-[1,3-15N,2-13C]imidazole-5-carboxylic acid ethyl ester (XXXIV), which is finally treated sequentially with Fe and acetic acid to reduce the nitro group, with trifluoromethanesulfonic anhydride to acylate the amino group, with NaOH to hydrolyze the ester group, and with carbonyldiimidazole and ammonia to generate the amide group, thus obtaining mass labeled saprisartan. This sequence has already been described in Scheme 19090802a for the unlabeled compound.

参考文献No.272749
标题:Bromobenzofuran-based non-peptide antagonists of angiotensin II: GR138950, a potent antihypertensive agent with high oral bioavailability
作者:Judd, D.B.; Dowle, M.D.; Middlemiss, D.; Scopes, D.I.; Ross, B.C.; Jack, T.I.; Pass, M.; Tranquillini, E.; Hobson, J.E.; Panchal, T.A.; et al.
来源:J Med Chem 1994,37(19),3108-20
合成路线图解说明:

1) The reaction of 5-methylbenzofuran (I) with triisopropyl borate by means of butyllithium and tetramethylethylenediamine (TMEDA) in ethyl ether gives 5-methylbenzofuran-2-boronic acid (II), which is condensed with methyl 2-bromobenzoate (III) by means of tetrakis(triphenylphosphine)palladium yielding 2-(5-methylbenzofuran-2-yl)benzoic acid methyl ester (IV). The bromination of (IV) with Br2 in CCl4 affords 2-(3-bromo-5-methylbenzofuran-2-yl)benzoic acid methyl ester (V), which is hydrolyzed with NaOH in refluxing methanol to the corresponding benzoic acid (VI). The reaction of (VI) with diphenylphosphoryl azide (DPPA) and tert-butanol in dioxane gives N-[2-(3-bromo-5-methylbenzofuran-2-yl)phenyl]carbamic acid tert-butyl ester (VII), which is brominated with N-bromosuccinimide (NBS) and benzoyl peroxide to the corresponding bromomethyl derivative (VIII). The condensation of (VIII) with 4-cyclopropyl-2-ethylimidazole-5-carboxylic acid ethyl ester (IX) by means of K2CO3 in DMF affords 1-[3-bromo-2-[2-(tert-butoxycarbonylamino)phenyl]benzofuran-5-ylmethyl]-4-cyclopropyl-2-ethylimidazole-5-carboxylic acid ethyl ester (X), which is treated with trifluoroacetic acid to eliminate the carbamate group, yielding compound (XI) with a free amino group. Acylation of (XI) with trifluoromethanesulfonic anhydride in dichloromethane gives the sulfonamide (XII), which is treated with NaOH in hot aqueous methanol to hydrolyze the ethyl ester group and isolate the carboxylic acid (XIII). Finally, this compound is treated first with carbonyldiimidazole (CDI) in THF and then with ethanolic ammonia. 2) The intermediate imidazole (IX) is obtained by reaction of ethyl 3-cyclopropyl-3-oxopropanoate (XIV) with NaNO2 and acetic acid, followed by hydrogenation with H2 over Pt/C in ethanol to give ethyl 2-amino-3-cyclopropyl-3-oxopropanoate (XV), which is then cyclized with propionimidic acid ethyl ester (XVI) by means of triethylamine in ethanol.

合成路线图解说明:

3) The condensation of 2-hydroxy-5-methylbenzaldehyde (XVII) with 2-nitrobenzyl alcohol (XVIII) by means of methanesulfonyl chloride and K2CO3 in dioxane/dimethylacetamide gives 5-methyl-2-(2-nitrobenzyloxy)benzaldehyde (XIX), which is cyclized by means of NaOMe in dimethylacetamide, yielding 5-methyl-2-(2-nitrophenyl)benzofuran (XX). The bromination of (XX) with Br2 and azobis(isobutyronitrile) (AIBN) in 1,1,1-trichloroethane affords 3-bromo-5-(bromomethyl)-2-(2-nitrophenyl)benzofuran (XXI), which is condensed with 4-cyclopropyl-2-ethylimidazole-5-carboxylic acid ethyl ester (IX) (already obtained in the preceding Scheme) by means of K2CO3 in dimethylacetamide to give 1-[3-bromo-2-(2-nitrophenyl)benzofuran-5-ylmethyl]-4-cyclopropyl-2-ethylimidazole-5-carboxylic acid ethyl ester (XXII). The reduction of (XXII) with Fe in ethanol/acetic acid yields the corresponding amino derivative (XI) already described, which is converted into the final product as described in Scheme 19090801a. 4) [13C]-Labeled saprisartan has been synthesized as follows: The decarboxylative iodination of 1-[3-bromo-2-(2-nitrophenyl)benzofuran-5-ylmethyl]-4-cyclopropyl-2-ethylimidazole-5-carboxylic acid ethyl ester (XXII) (already described in Scheme 2) by hydrolysis with NaOH in refluxing methanol, followed by reaction with iodine yields the corresponding 5-iodoimidazole derivative (XXIII), which is treated with [13C]-labeled potassium cyanide and copper iodide in DMF to afford the labeled imidazole-5-carbonitrile derivative (XXIV). The reduction of the nitro group of (XXIV) with iron filings in acetic acid/water yields the corresponding amino derivative (XXV), which is acylated with trifluoromethanesulfonic anhydride and triethylamine to give the sulfonamide (XXVI). Finally, the cyano group of (XXVI) is selectively hydrolyzed with aqueous ammonia and hydrogen peroxide to afford saprisartan labeled at the carboxamide group. 5) [14C]-Labeled saprisartan has been synthesized by the same synthetic sequence described previously for the [13C]-labeled compound.

合成路线图解说明:

6) Mass labeled saprisartan has been obtained as follows: The Wittig condensation of cyclopropylcarbonyl chloride (XXVII) with ethoxycarbonylmethylene triphenylphosphorane (XXVIII) by means of bis(trimethylsilyl)acetamide in dichloromethane gives 3-cyclopropyl-3-oxo-2-(triphenylphosphoranylidene)propionic acid ethyl ester (XXIX), which is oxidized with potassium peroxymonosulfate to the dicarbonyl compound (XXX). The cyclization of (XXX) with [all-13C]-propionaldehyde (XXXI) (obtained by hydrogenation of the corresponding acyl chloride (XXXII) with H2 over Pd/C in THF containing 2,6-lutidine) and [15N]-ammonium acetate by means of triethylamine in THF yields 4-cyclopropyl-2-[1,2-13C]-ethyl-[1,3-15N,2-13C]imidazole-5-carboxylic acid ethyl ester (XXXIII). The condensation of (XXXIII) with the benzofuran (XXI) (already described in Scheme 2) by means of K2CO3 in dimethylacetamide affords 1-[3-bromo-2-(2-nitrophenyl)benzofuran-5-ylmethyl]-4-cyclopropyl-2-[1,2-13C]-ethyl-[1,3-15N,2-13C]imidazole-5-carboxylic acid ethyl ester (XXXIV), which is finally treated sequentially with Fe and acetic acid to reduce the nitro group, with trifluoromethanesulfonic anhydride to acylate the amino group, with NaOH to hydrolyze the ester group, and with carbonyldiimidazole and ammonia to generate the amide group, thus obtaining mass labeled saprisartan. This sequence has already been described in Scheme 19090802a for the unlabeled compound.

参考文献No.366176
标题:Synthesis of isotopically labelled angiotensin II antagonist GR138950X
作者:Carr, R.M.; Cable, K.M.; Newman, J.J.; Sutherland, D.R.
来源:J Label Compd Radiopharm 1996,38(5),453
合成路线图解说明:

1) The reaction of 5-methylbenzofuran (I) with triisopropyl borate by means of butyllithium and tetramethylethylenediamine (TMEDA) in ethyl ether gives 5-methylbenzofuran-2-boronic acid (II), which is condensed with methyl 2-bromobenzoate (III) by means of tetrakis(triphenylphosphine)palladium yielding 2-(5-methylbenzofuran-2-yl)benzoic acid methyl ester (IV). The bromination of (IV) with Br2 in CCl4 affords 2-(3-bromo-5-methylbenzofuran-2-yl)benzoic acid methyl ester (V), which is hydrolyzed with NaOH in refluxing methanol to the corresponding benzoic acid (VI). The reaction of (VI) with diphenylphosphoryl azide (DPPA) and tert-butanol in dioxane gives N-[2-(3-bromo-5-methylbenzofuran-2-yl)phenyl]carbamic acid tert-butyl ester (VII), which is brominated with N-bromosuccinimide (NBS) and benzoyl peroxide to the corresponding bromomethyl derivative (VIII). The condensation of (VIII) with 4-cyclopropyl-2-ethylimidazole-5-carboxylic acid ethyl ester (IX) by means of K2CO3 in DMF affords 1-[3-bromo-2-[2-(tert-butoxycarbonylamino)phenyl]benzofuran-5-ylmethyl]-4-cyclopropyl-2-ethylimidazole-5-carboxylic acid ethyl ester (X), which is treated with trifluoroacetic acid to eliminate the carbamate group, yielding compound (XI) with a free amino group. Acylation of (XI) with trifluoromethanesulfonic anhydride in dichloromethane gives the sulfonamide (XII), which is treated with NaOH in hot aqueous methanol to hydrolyze the ethyl ester group and isolate the carboxylic acid (XIII). Finally, this compound is treated first with carbonyldiimidazole (CDI) in THF and then with ethanolic ammonia. 2) The intermediate imidazole (IX) is obtained by reaction of ethyl 3-cyclopropyl-3-oxopropanoate (XIV) with NaNO2 and acetic acid, followed by hydrogenation with H2 over Pt/C in ethanol to give ethyl 2-amino-3-cyclopropyl-3-oxopropanoate (XV), which is then cyclized with propionimidic acid ethyl ester (XVI) by means of triethylamine in ethanol.

合成路线图解说明:

3) The condensation of 2-hydroxy-5-methylbenzaldehyde (XVII) with 2-nitrobenzyl alcohol (XVIII) by means of methanesulfonyl chloride and K2CO3 in dioxane/dimethylacetamide gives 5-methyl-2-(2-nitrobenzyloxy)benzaldehyde (XIX), which is cyclized by means of NaOMe in dimethylacetamide, yielding 5-methyl-2-(2-nitrophenyl)benzofuran (XX). The bromination of (XX) with Br2 and azobis(isobutyronitrile) (AIBN) in 1,1,1-trichloroethane affords 3-bromo-5-(bromomethyl)-2-(2-nitrophenyl)benzofuran (XXI), which is condensed with 4-cyclopropyl-2-ethylimidazole-5-carboxylic acid ethyl ester (IX) (already obtained in the preceding Scheme) by means of K2CO3 in dimethylacetamide to give 1-[3-bromo-2-(2-nitrophenyl)benzofuran-5-ylmethyl]-4-cyclopropyl-2-ethylimidazole-5-carboxylic acid ethyl ester (XXII). The reduction of (XXII) with Fe in ethanol/acetic acid yields the corresponding amino derivative (XI) already described, which is converted into the final product as described in Scheme 19090801a. 4) [13C]-Labeled saprisartan has been synthesized as follows: The decarboxylative iodination of 1-[3-bromo-2-(2-nitrophenyl)benzofuran-5-ylmethyl]-4-cyclopropyl-2-ethylimidazole-5-carboxylic acid ethyl ester (XXII) (already described in Scheme 2) by hydrolysis with NaOH in refluxing methanol, followed by reaction with iodine yields the corresponding 5-iodoimidazole derivative (XXIII), which is treated with [13C]-labeled potassium cyanide and copper iodide in DMF to afford the labeled imidazole-5-carbonitrile derivative (XXIV). The reduction of the nitro group of (XXIV) with iron filings in acetic acid/water yields the corresponding amino derivative (XXV), which is acylated with trifluoromethanesulfonic anhydride and triethylamine to give the sulfonamide (XXVI). Finally, the cyano group of (XXVI) is selectively hydrolyzed with aqueous ammonia and hydrogen peroxide to afford saprisartan labeled at the carboxamide group. 5) [14C]-Labeled saprisartan has been synthesized by the same synthetic sequence described previously for the [13C]-labeled compound.

合成路线图解说明:

6) Mass labeled saprisartan has been obtained as follows: The Wittig condensation of cyclopropylcarbonyl chloride (XXVII) with ethoxycarbonylmethylene triphenylphosphorane (XXVIII) by means of bis(trimethylsilyl)acetamide in dichloromethane gives 3-cyclopropyl-3-oxo-2-(triphenylphosphoranylidene)propionic acid ethyl ester (XXIX), which is oxidized with potassium peroxymonosulfate to the dicarbonyl compound (XXX). The cyclization of (XXX) with [all-13C]-propionaldehyde (XXXI) (obtained by hydrogenation of the corresponding acyl chloride (XXXII) with H2 over Pd/C in THF containing 2,6-lutidine) and [15N]-ammonium acetate by means of triethylamine in THF yields 4-cyclopropyl-2-[1,2-13C]-ethyl-[1,3-15N,2-13C]imidazole-5-carboxylic acid ethyl ester (XXXIII). The condensation of (XXXIII) with the benzofuran (XXI) (already described in Scheme 2) by means of K2CO3 in dimethylacetamide affords 1-[3-bromo-2-(2-nitrophenyl)benzofuran-5-ylmethyl]-4-cyclopropyl-2-[1,2-13C]-ethyl-[1,3-15N,2-13C]imidazole-5-carboxylic acid ethyl ester (XXXIV), which is finally treated sequentially with Fe and acetic acid to reduce the nitro group, with trifluoromethanesulfonic anhydride to acylate the amino group, with NaOH to hydrolyze the ester group, and with carbonyldiimidazole and ammonia to generate the amide group, thus obtaining mass labeled saprisartan. This sequence has already been described in Scheme 19090802a for the unlabeled compound.

参考文献No.380762
标题:Saprisartan
作者:Robinson, K.A.; Robinson, C.P.; Casta馿r, J.
来源:Drugs Fut 1996,21(11),1129
合成路线图解说明:

1) The reaction of 5-methylbenzofuran (I) with triisopropyl borate by means of butyllithium and tetramethylethylenediamine (TMEDA) in ethyl ether gives 5-methylbenzofuran-2-boronic acid (II), which is condensed with methyl 2-bromobenzoate (III) by means of tetrakis(triphenylphosphine)palladium yielding 2-(5-methylbenzofuran-2-yl)benzoic acid methyl ester (IV). The bromination of (IV) with Br2 in CCl4 affords 2-(3-bromo-5-methylbenzofuran-2-yl)benzoic acid methyl ester (V), which is hydrolyzed with NaOH in refluxing methanol to the corresponding benzoic acid (VI). The reaction of (VI) with diphenylphosphoryl azide (DPPA) and tert-butanol in dioxane gives N-[2-(3-bromo-5-methylbenzofuran-2-yl)phenyl]carbamic acid tert-butyl ester (VII), which is brominated with N-bromosuccinimide (NBS) and benzoyl peroxide to the corresponding bromomethyl derivative (VIII). The condensation of (VIII) with 4-cyclopropyl-2-ethylimidazole-5-carboxylic acid ethyl ester (IX) by means of K2CO3 in DMF affords 1-[3-bromo-2-[2-(tert-butoxycarbonylamino)phenyl]benzofuran-5-ylmethyl]-4-cyclopropyl-2-ethylimidazole-5-carboxylic acid ethyl ester (X), which is treated with trifluoroacetic acid to eliminate the carbamate group, yielding compound (XI) with a free amino group. Acylation of (XI) with trifluoromethanesulfonic anhydride in dichloromethane gives the sulfonamide (XII), which is treated with NaOH in hot aqueous methanol to hydrolyze the ethyl ester group and isolate the carboxylic acid (XIII). Finally, this compound is treated first with carbonyldiimidazole (CDI) in THF and then with ethanolic ammonia. 2) The intermediate imidazole (IX) is obtained by reaction of ethyl 3-cyclopropyl-3-oxopropanoate (XIV) with NaNO2 and acetic acid, followed by hydrogenation with H2 over Pt/C in ethanol to give ethyl 2-amino-3-cyclopropyl-3-oxopropanoate (XV), which is then cyclized with propionimidic acid ethyl ester (XVI) by means of triethylamine in ethanol.

合成路线图解说明:

3) The condensation of 2-hydroxy-5-methylbenzaldehyde (XVII) with 2-nitrobenzyl alcohol (XVIII) by means of methanesulfonyl chloride and K2CO3 in dioxane/dimethylacetamide gives 5-methyl-2-(2-nitrobenzyloxy)benzaldehyde (XIX), which is cyclized by means of NaOMe in dimethylacetamide, yielding 5-methyl-2-(2-nitrophenyl)benzofuran (XX). The bromination of (XX) with Br2 and azobis(isobutyronitrile) (AIBN) in 1,1,1-trichloroethane affords 3-bromo-5-(bromomethyl)-2-(2-nitrophenyl)benzofuran (XXI), which is condensed with 4-cyclopropyl-2-ethylimidazole-5-carboxylic acid ethyl ester (IX) (already obtained in the preceding Scheme) by means of K2CO3 in dimethylacetamide to give 1-[3-bromo-2-(2-nitrophenyl)benzofuran-5-ylmethyl]-4-cyclopropyl-2-ethylimidazole-5-carboxylic acid ethyl ester (XXII). The reduction of (XXII) with Fe in ethanol/acetic acid yields the corresponding amino derivative (XI) already described, which is converted into the final product as described in Scheme 19090801a. 4) [13C]-Labeled saprisartan has been synthesized as follows: The decarboxylative iodination of 1-[3-bromo-2-(2-nitrophenyl)benzofuran-5-ylmethyl]-4-cyclopropyl-2-ethylimidazole-5-carboxylic acid ethyl ester (XXII) (already described in Scheme 2) by hydrolysis with NaOH in refluxing methanol, followed by reaction with iodine yields the corresponding 5-iodoimidazole derivative (XXIII), which is treated with [13C]-labeled potassium cyanide and copper iodide in DMF to afford the labeled imidazole-5-carbonitrile derivative (XXIV). The reduction of the nitro group of (XXIV) with iron filings in acetic acid/water yields the corresponding amino derivative (XXV), which is acylated with trifluoromethanesulfonic anhydride and triethylamine to give the sulfonamide (XXVI). Finally, the cyano group of (XXVI) is selectively hydrolyzed with aqueous ammonia and hydrogen peroxide to afford saprisartan labeled at the carboxamide group. 5) [14C]-Labeled saprisartan has been synthesized by the same synthetic sequence described previously for the [13C]-labeled compound.

合成路线图解说明:

6) Mass labeled saprisartan has been obtained as follows: The Wittig condensation of cyclopropylcarbonyl chloride (XXVII) with ethoxycarbonylmethylene triphenylphosphorane (XXVIII) by means of bis(trimethylsilyl)acetamide in dichloromethane gives 3-cyclopropyl-3-oxo-2-(triphenylphosphoranylidene)propionic acid ethyl ester (XXIX), which is oxidized with potassium peroxymonosulfate to the dicarbonyl compound (XXX). The cyclization of (XXX) with [all-13C]-propionaldehyde (XXXI) (obtained by hydrogenation of the corresponding acyl chloride (XXXII) with H2 over Pd/C in THF containing 2,6-lutidine) and [15N]-ammonium acetate by means of triethylamine in THF yields 4-cyclopropyl-2-[1,2-13C]-ethyl-[1,3-15N,2-13C]imidazole-5-carboxylic acid ethyl ester (XXXIII). The condensation of (XXXIII) with the benzofuran (XXI) (already described in Scheme 2) by means of K2CO3 in dimethylacetamide affords 1-[3-bromo-2-(2-nitrophenyl)benzofuran-5-ylmethyl]-4-cyclopropyl-2-[1,2-13C]-ethyl-[1,3-15N,2-13C]imidazole-5-carboxylic acid ethyl ester (XXXIV), which is finally treated sequentially with Fe and acetic acid to reduce the nitro group, with trifluoromethanesulfonic anhydride to acylate the amino group, with NaOH to hydrolyze the ester group, and with carbonyldiimidazole and ammonia to generate the amide group, thus obtaining mass labeled saprisartan. This sequence has already been described in Scheme 19090802a for the unlabeled compound.

Drug Information Express,Drug R&D,Chemical Database,Patent Search.
Copyright © 2006-2026 Drug Future. All rights reserved.Contact Us