【药物名称】CP-0467
化学结构式(Chemical Structure):
参考文献No.486505
标题:Novel cephalosporin derivatives possessing a bicyclic heterocycle at the 3-position. Part I: Synthesis and biological activities of 3-(benzothiazol-2-yl)thiocephalosporin derivatives, CP0467 and related compounds
作者:Tsushima, M.; Iwamatsu, K.; Tamura, A.; Shibahara, S.
来源:Bioorg Med Chem 1998,6(7),1009
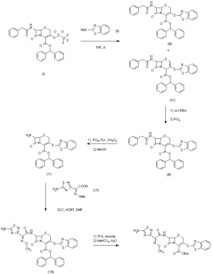
合成路线图解说明:

The substitution of the triflate group of (I) by the sodium thiolate (II) provided a mixture of 3-cephem (III) and 2-cephem (IV) compounds. Without purification, treatment of the mixture with m-chloroperbenzoic acid gave the corresponding S-oxides, which were reduced with PCl3 to yield the 3-cephem (III). The phenylacetyl group was removed by treatment with PCl5 and pyridine, followed by hydrolysis with MeOH to afford amine (V). Acylation with acid (VI) in the presence of dicyclohexyl carbodiimide (DCC) and 1-hydroxybenzotriazole (HOBT) yielded amide (VII). Then, removal of the benzhydryl protecting group using trifluoroacetic acid and anisole, followed by treatment with aqueous NaHCO3 provided the target cephalosporin.

Drug Information Express,Drug R&D,Chemical Database,Patent Search.
Copyright © 2006-2026 Drug Future. All rights reserved.Contact Us