【药物名称】Perzinfotel, WAY-126090, EAA-090
化学结构式(Chemical Structure):
参考文献No.18345
标题:[[(2-Amino-3, 4-dioxo-1-cyclo-buten-1-yl)amino]alkyl]-acid derivs.
作者:Kinney, W.A.; Garrison, D.C. (Wyeth)
来源:EP 0496561; JP 1992321654; US 5168103
合成路线图解说明:

Combining (3-aminopropyl)carbamic acid benzyl ester (CBZ-protected propylene diamine) (I) with 2-oxoethylphosphonic acid diethyl ester under reductive amination conditions in the presence of sodium cyanoborohydride gives the CBZ-protected phosphonoethyl-substituted propylene diamine (II). The condensation of (II) with 3,4-diethoxy-3-cyclobutene-1,2-dione at room temperature in ethanol leads to the squaric acid analog (III). Removal of the CBZ protecting group under catalytic transfer hydrogenation conditions followed by spontaneous cyclization provides the penultimate diethylphosphonate ester (IV), which is hydrolyzed in the presence of bromotrimethylsilane in refluxing 1,2-dichloroethane to yield the final product in 15% overall yield.

参考文献No.56357
标题:Process for the preparation of [2-((8.9)-dioxo-2,6-diazabicyclo[5.2.0]-non-1(7)-en-2-yl)ethyl]phosphonic acid
作者:Kinney, W.A.; Schmid, J.; Asselin, A.A. (Wyeth)
来源:US 5990307
合成路线图解说明:

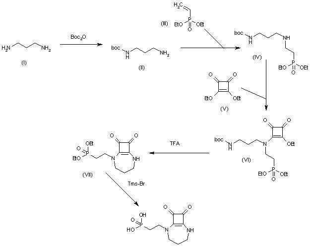
The monoprotection of propane-1,3-diamine (I) with Boc2O in dichloromethane gives the N-(3-aminopropyl)carbamic acid tert-butyl ester (II), which is condensed with vinylphosphonic acid diethyl ester (III) to yield the aminoethylphosphonic ester derivative (IV). The condensation of (IV) with 3,4-diethoxycyclobutene-1,2-dione (V) in ethanol affords the disubstituted 2-aminoethylphosphonic ester derivative (VI), which is cyclized by means of trifluoroacetic acid in dichloromethane to provide the bicyclic phosphonic ester (VII). Finally, the phosphonic ester group of (VII) is hydrolyzed by means of trimethylsilyl bromide in dichloromethane to furnish the target phosphonic acid.

参考文献No.56358
标题:Process for the preparation of [2-((8,9)-dioxo-2,6-diazabicyclo[5.2.0]-non-1(7)-en-2-yl)-ethyl]phosphonic acid
作者:Kinney, W.A.; Schmid, J.; Asselin, A.A. (Wyeth)
来源:WO 9906417
合成路线图解说明:

The monoprotection of propane-1,3-diamine (I) with Boc2O in dichloromethane gives the N-(3-aminopropyl)carbamic acid tert-butyl ester (II), which is condensed with vinylphosphonic acid diethyl ester (III) to yield the aminoethylphosphonic ester derivative (IV). The condensation of (IV) with 3,4-diethoxycyclobutene-1,2-dione (V) in ethanol affords the disubstituted 2-aminoethylphosphonic ester derivative (VI), which is cyclized by means of trifluoroacetic acid in dichloromethane to provide the bicyclic phosphonic ester (VII). Finally, the phosphonic ester group of (VII) is hydrolyzed by means of trimethylsilyl bromide in dichloromethane to furnish the target phosphonic acid.

参考文献No.445310
标题:Design and synthesis of [2-(8,9-dioxo-2, 6-diazabicyclo[5.2.0]non-1(7)-en-2-yl)ethyl]phosphonic acid (EAA-090), a potent N-methyl-D-aspartate antagonist, via the use of 3-cyclobutene-1,2-dione as an achiral alpha-amino acid bioisostere
作者:Kinney, W.A.; Abou-Gharbia, M.; Garrison, D.T.; Schmid, J.; Kowal, D.M.; Bramlett, D.R.; Miller, T.L.; Tasse, R.P.; Zaleska, M.M.; Moyer, J.A.
来源:J Med Chem 1998,41(2),236
合成路线图解说明:

Combining (3-aminopropyl)carbamic acid benzyl ester (CBZ-protected propylene diamine) (I) with 2-oxoethylphosphonic acid diethyl ester under reductive amination conditions in the presence of sodium cyanoborohydride gives the CBZ-protected phosphonoethyl-substituted propylene diamine (II). The condensation of (II) with 3,4-diethoxy-3-cyclobutene-1,2-dione at room temperature in ethanol leads to the squaric acid analog (III). Removal of the CBZ protecting group under catalytic transfer hydrogenation conditions followed by spontaneous cyclization provides the penultimate diethylphosphonate ester (IV), which is hydrolyzed in the presence of bromotrimethylsilane in refluxing 1,2-dichloroethane to yield the final product in 15% overall yield.

参考文献No.685790
标题:EAA-090
作者:Zaleska, M.M.; Childers, W.E. Jr.; Abou-Gharbia, M.A.; Moyer, J.A.
来源:Drugs Fut 2002,27(7),633
合成路线图解说明:

Combining (3-aminopropyl)carbamic acid benzyl ester (CBZ-protected propylene diamine) (I) with 2-oxoethylphosphonic acid diethyl ester under reductive amination conditions in the presence of sodium cyanoborohydride gives the CBZ-protected phosphonoethyl-substituted propylene diamine (II). The condensation of (II) with 3,4-diethoxy-3-cyclobutene-1,2-dione at room temperature in ethanol leads to the squaric acid analog (III). Removal of the CBZ protecting group under catalytic transfer hydrogenation conditions followed by spontaneous cyclization provides the penultimate diethylphosphonate ester (IV), which is hydrolyzed in the presence of bromotrimethylsilane in refluxing 1,2-dichloroethane to yield the final product in 15% overall yield.

Drug Information Express,Drug R&D,Chemical Database,Patent Search.
Copyright © 2006-2026 Drug Future. All rights reserved.Contact Us