【药物名称】Sanfetrinem sodium, GV-104326X(free acid), GV-104326B, GV-104326
化学结构式(Chemical Structure):
参考文献No.473003
标题:Synthesis and antibacterial activity of 4- and 8-methoxy trinems
作者:Gaviraghi, G.; Marchioro, C.; Di Modugno, E.; Rossi, T.; Perboni, A.; Andreotti, D.; Donati, D.
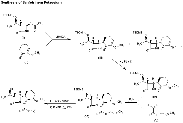
来源:Bioorg Med Chem Lett 1996,6(4),491
合成路线图解说明:

A new synthesis of sanfetrinem has been published: The condensation of (3S,4R)-4-acetoxy-3-[1(R)-(tert-butyldimethylsilyloxy)ethyl]azetidin-2-one (I) with 2-methoxy-2-cyclohexen-1-one (II) by means of lithium bis(trimethylsilyl)amide (LHMDA) in THF gives a mixture of diastereomers that are separated by flash chromatography yielding pure enantiomer (III). The hydrogenation of the double bond of (III) with H2 over Pd/C in ethyl acetate affords another mixture of diastereomers that are also separated by flash chromatography giving pure enantiomer (IV). The cyclization of (IV) with allyl acrylate (V) by means of triethylamine yields (4S,8S,9R,10S)-10-[1(R)-hydroxyethyl]-4-methoxy-11-oxo-1-azatricyclo[7.2.0.0(3,8)]undec-2-ene-2-carboxylic acid allyl ester (VI), the silylated allyl ester of sanfetrinem. Finally, this compound is desilylated by treatment with tetrabutylammonium fluoride (TBAF)/acetic acid in THF, and saponified with potassium 2-ethylhexanoate (KEH).

合成路线图解说明:

A new synthesis of sanfetrinem has been puplished: The condensation of (3S,4R)-4-acetoxy-3-[1(R)-(tert-butyldimethylsilyloxy)ethyl]azetidin-2-one (I) with 2-methoxy-2-cyclohexen-1-one (II) by means of lithium bis(trimethylsilyl)amide (LHMDA) in THF gives a mixture of diastereomers that are separated by flash chromatography yielding pure enantiomer (III). The hydrogenation of the double bond of (III) with H2 over Pd/C in ethyl acetate affords another mixture of diastereomers that are also separated by flash chromatography giving pure enantiomer (IV). The cyclization of (IV) with allyl acrylate (V) by means of triethylamine yields (4S,8S,9R,10S)-10-[1(R)-hydroxyethyl]-4-methoxy-11-oxo-1-azatricyclo[7.2.0.0(3,8)]undec-2-ene-2-carboxylic acid allyl ester (VI), the silylated allyl ester of sanfetrinem. Finally, this compound is desilylated by treatment with tetrabutylammonium fluoride (TBAF)/acetic acid in THF, and saponified with potassium 2-ethylhexanoate (KEH).

参考文献No.658832
标题:Efficiency by design: Optimisation in process research
作者:Owen, M.R.; et al.
来源:Org Process Res Dev 2001,5(3),308
合成路线图解说明:

1) The reaction of 2-methoxycyclohexanone (I) with dialkyl carbonate by means of NaH/KH in THF gives 3-methoxy-2-oxocyclohexanecarboxylic acid allyl ester (II), which is condensed with (3R,4R)-4-acetoxy-3-[1(R)-tert-butyldimethylsilyloxy)ethyl]azetidin-2-one (III) by means of NaH in THF yielding the condensation product (IV) as a mixture of the alpha- and beta-stereoisomers at the methoxy group. The protection of the NH group of (IV) with tert-butyldimethylsilyl (TBS) trifluoromethanesulfonate affords the bis-TBS-protected compound (V), which is stereospecifically decarboxylated with palladium acetate, formic acid and triphenylphosphine to the protected azetidinone (VI) also as alpha- and beta-isomers. The selective desilylation of (VI) with tetrabutylammonium fluoride (TBAF) in acetic acid gives the O-protected azetidinone (VII) also as a mixture, which is epimerized by sequential treatments with lithium diisopropylamide (LDA), with ZnBr2 and finally with diethyl malonate to afford the alpha-(S)-epimer (VIII). The acylation of (VIII) with benzyloxalyl chloride and pyridine in dichloromethane gives the N-benzyloxazyl derivative (IX), which is cyclized by means of triethyl phosphite in refluxing xylene yielding (4S,8S,9R,10S)-10-[1(R)-(tert-butyldimethylsilyloxy)ethyl]-4-methoxy-11-oxo-1-azatricyclo[7.2.0.0(3,8)]undec-2-ene-2-carboxylic acid benzyl ester (X). The desilylation of (X) with TBAF in THF/acetic acid affords (XI) with a 1-hydroxyethyl group, which is hydrogenated with H2 over Pd/C in dioxane in the presence of 3,3,6,9,9-pentamethyl-2,10-diazabicyclo[4.4.0]dec-1-ene (XII) giving the addition salt (XIII). The treatment of (XIII) with potassium 2-ethylhexanoate yields the corresponding potassium salt (XIV) (1), which is finally esterified with 1-chloroethyl cyclohexyl carbonate (XV) by means of benzyltrimethylammonium chloride in DMF.

合成路线图解说明:

6) The condensation of 2-methyl-2-cyclohexen-1-one (XXIV) with the previously described azetidinone (III) by means of lithium diisopropylamide in THF, followed by flash chromatography, gives the enantiomerically pure 3-methoxy-3-cyclohexenylazetidinone (XXV), which by reduction with H2 over Pd/C in ethyl acetate followed by chromatography yields the previously described azetidinone (VIII). The cyclization of (VIII) with allyloxyoxalyl chloride (XXVI) by means of K2CO3 in dichloromethane affords (4S,8S,9R,10S)-1-[1(R)-(tert-butyldimethylsilyloxy)ethyl-4-methoxy-11-oxo-1-azatricyclo[7.2.0.0(3,8)]undec-2-ene-2-carboxylic acid allyl ester (XXVII), which is treated with tetrabutylammonium fluoride in THF/acetic acid to eliminate the TBS group giving the 1-hydroxyethyl derivative (XXVIII). Finally, this compound is treated with triphenylphosphine and potassium 2-ethylhexanoate to afford the potassium salt (XIV), already described in Scheme 18359601a.

合成路线图解说明:

A new synthesis of sanfetrinem has been published: The condensation of (3S,4R)-4-acetoxy-3-[1(R)-(tert-butyldimethylsilyloxy)ethyl]azetidin-2-one (I) with 2-methoxy-2-cyclohexen-1-one (II) by means of lithium bis(trimethylsilyl)amide (LHMDA) in THF gives a mixture of diastereomers that are separated by flash chromatography yielding pure enantiomer (III). The hydrogenation of the double bond of (III) with H2 over Pd/C in ethyl acetate affords another mixture of diastereomers that are also separated by flash chromatography giving pure enantiomer (IV). The cyclization of (IV) with allyl acrylate (V) by means of triethylamine yields (4S,8S,9R,10S)-10-[1(R)-hydroxyethyl]-4-methoxy-11-oxo-1-azatricyclo[7.2.0.0(3,8)]undec-2-ene-2-carboxylic acid allyl ester (VI), the silylated allyl ester of sanfetrinem. Finally, this compound is desilylated by treatment with tetrabutylammonium fluoride (TBAF)/acetic acid in THF, and saponified with potassium 2-ethylhexanoate (KEH).

合成路线图解说明:

A new synthesis of sanfetrinem has been puplished: The condensation of (3S,4R)-4-acetoxy-3-[1(R)-(tert-butyldimethylsilyloxy)ethyl]azetidin-2-one (I) with 2-methoxy-2-cyclohexen-1-one (II) by means of lithium bis(trimethylsilyl)amide (LHMDA) in THF gives a mixture of diastereomers that are separated by flash chromatography yielding pure enantiomer (III). The hydrogenation of the double bond of (III) with H2 over Pd/C in ethyl acetate affords another mixture of diastereomers that are also separated by flash chromatography giving pure enantiomer (IV). The cyclization of (IV) with allyl acrylate (V) by means of triethylamine yields (4S,8S,9R,10S)-10-[1(R)-hydroxyethyl]-4-methoxy-11-oxo-1-azatricyclo[7.2.0.0(3,8)]undec-2-ene-2-carboxylic acid allyl ester (VI), the silylated allyl ester of sanfetrinem. Finally, this compound is desilylated by treatment with tetrabutylammonium fluoride (TBAF)/acetic acid in THF, and saponified with potassium 2-ethylhexanoate (KEH).

Drug Information Express,Drug R&D,Chemical Database,Patent Search.
Copyright © 2006-2026 Drug Future. All rights reserved.Contact Us