【药物名称】DE-333, BE-333, CI-1006, DENSPM, BENSPM
化学结构式(Chemical Structure):
参考文献No.55749
标题:Preparation of polyamine(s), substd. on terminal nitrogen atoms
作者:Mignonac, S.; Guy, A.; De Lamer, V. (Sanofi-Synth閘abo)
来源:FR 2714052
合成路线图解说明:

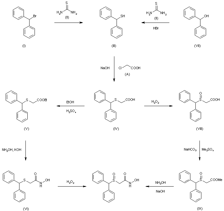
This compound can be prepared in several different ways: 1) The reaction of benzhydryl bromide (I) with thiourea (II) in refluxing water gives diphenyl - methanethiol (III), which is condensed with chloroacetic acid (A) by means of NaOH in hot water yielding (benzhydrylthio)acetic acid (IV). The esterification of (IV) with ethanol and H2SO4 affords the corresponding ethyl ester (V), which is treated with hydroxylamine hydrochloride and KOH in methanol to give benzhydrylthioacetohydroxamic acid (VI). Finally, this compound is oxidized with H2O2 in acetic acid. 2) Compound (III) can also be obtained by reaction of benzhydrol (VII) with thiourea and aqueous 48% HBr at 100 C. 3) Compound (IV) can be oxidized with H2O2 in water to give benzhydrylsulfinylacetic acid (VIII), which is methylated with dimethyl sulfate and NaHCO3 in water to the corresponding methyl ester (IX). Finally, this compound is treated with hydroxylamine and NaOH in water

合成路线图解说明:

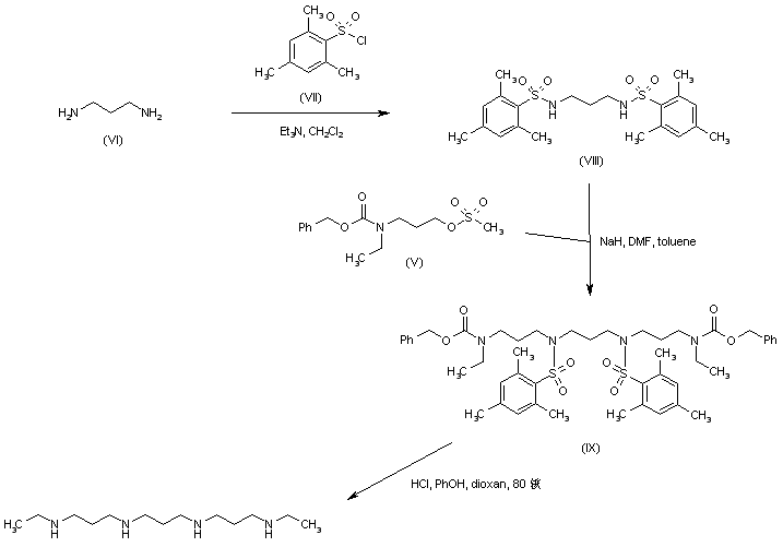
Alkylation of ethylamine (II) with 3-chloro-1-propanol (I) in a pressure vessel furnished 3-(ethylamino)-1-propanol (III). After protection of the secondary amine group of (III) upon treatment with benzyl chloroformate, the resultant N-(3-hydroxypropyl)carbamate (IV) was activated as the mesylate ester (V) with methanesulfonyl chloride and triethylamine.

合成路线图解说明:

1,3-Diaminopropane (VI) was protected as the bis-sulfonamide (VIII) by acylation with mesitylenesulfonyl chloride (VII). The sodium salt of sulfonamide (VIII) was then alkylated with mesylate (V) in cold DMF/toluene to provide the fully protected tetraamine (IX). The sulfonyl and carbamate protecting groups of (IX) were finally removed by treatment with HCl in the presence of phenol at 80 C.

Drug Information Express,Drug R&D,Chemical Database,Patent Search.
Copyright © 2006-2026 Drug Future. All rights reserved.Contact Us