【药物名称】Ecraprost, AS-013
化学结构式(Chemical Structure):
参考文献No.19765
标题:Emulsion of lipid containing a prostaglandin analogue
作者:Mizushima, Y.; Inomata, T.; Yasuda, A. (Asahi Glass Co., Ltd.; Seikagaku Corp.)
来源:EP 0423697; EP 0624574
合成路线图解说明:

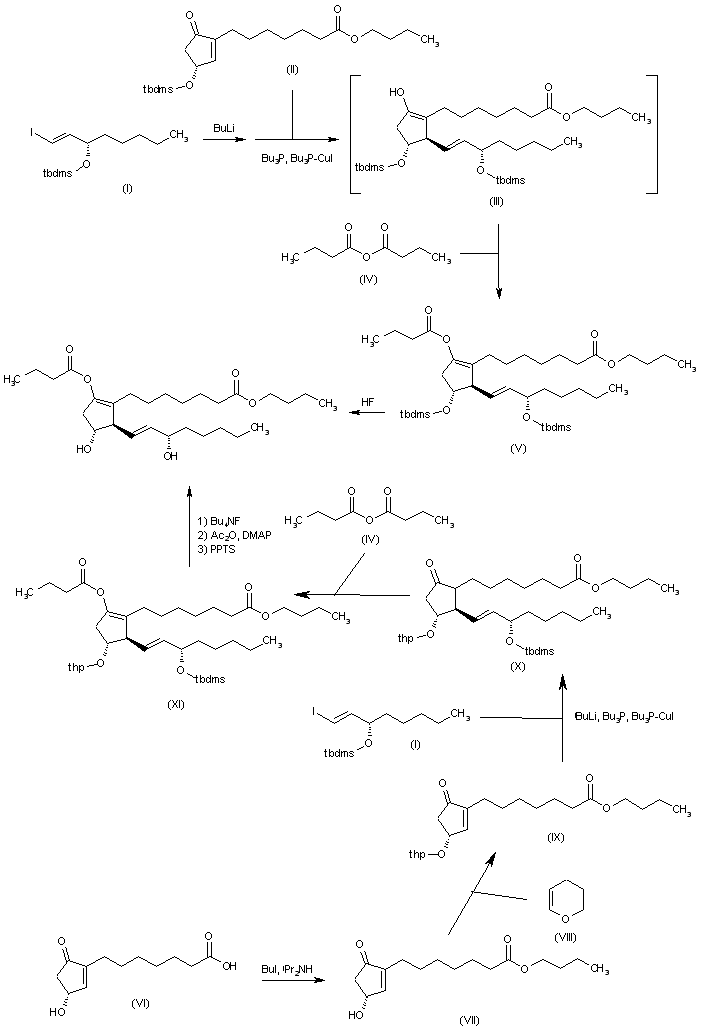
Treatment of (1E,3S)-1-iodo-3-(tert-butyldimethylsilyloxy)-1-octene (I) with BuLi in ethyl ether, followed by reaction with 7-[3(R)-(tert-butyldimethylsilyloxy)-5-oxo-1-cyclopenten-1-yl] heptanoic acid butyl ester (II) by means of tributylphosphine-copper(I) iodide complex and tributylphosphine in ethyl ether provides the protected nonisolated intermediate (III), which is treated with butyric anhydride (IV) to afford derivative (V). Finally, this compound is converted into the desired product by removal of the TBDMS groups by means HF in acetonitrile/H2O (1). Alternatively, the synthesis can be performed by following a different protection strategy: Esterification of carboxylic acid (VI) with butyl iodide in DMSO by means of diisopropylamine provides derivative (VII), which is then protected by reaction with 3,4-dihydro-2H-pyran (VIII) to furnish compound (IX). Next, coupling of (IX) with iodo derivative (I) by means of tert-BuLi, tributylphosphine - copper (I) iodide complex and tributylphosphine in ethyl ether gives the adduct (X), which by reaction with butyric anhydride (IV) affords derivative (XI). Finally, this compound is converted into the desired product by following this deprotection protocol: 1) Bu4NF in THF; 2) Ac2O, DMAP in CH2Cl2 in the presence of pyridine; and finally 3) pyridinium p-toluenesulfonate (PPTS) in EtOH.

参考文献No.650949
标题:Synthesis of novel prostaglandin E1 prodrugs as inhibitors of platelet aggregation
作者:Makino, M.; et al.
来源:Reports Res Lab Asahi Glass Co Ltd 1997,4795
合成路线图解说明:

Treatment of (1E,3S)-1-iodo-3-(tert-butyldimethylsilyloxy)-1-octene (I) with BuLi in ethyl ether, followed by reaction with 7-[3(R)-(tert-butyldimethylsilyloxy)-5-oxo-1-cyclopenten-1-yl] heptanoic acid butyl ester (II) by means of tributylphosphine-copper(I) iodide complex and tributylphosphine in ethyl ether provides the protected nonisolated intermediate (III), which is treated with butyric anhydride (IV) to afford derivative (V). Finally, this compound is converted into the desired product by removal of the TBDMS groups by means HF in acetonitrile/H2O (1). Alternatively, the synthesis can be performed by following a different protection strategy: Esterification of carboxylic acid (VI) with butyl iodide in DMSO by means of diisopropylamine provides derivative (VII), which is then protected by reaction with 3,4-dihydro-2H-pyran (VIII) to furnish compound (IX). Next, coupling of (IX) with iodo derivative (I) by means of tert-BuLi, tributylphosphine - copper (I) iodide complex and tributylphosphine in ethyl ether gives the adduct (X), which by reaction with butyric anhydride (IV) affords derivative (XI). Finally, this compound is converted into the desired product by following this deprotection protocol: 1) Bu4NF in THF; 2) Ac2O, DMAP in CH2Cl2 in the presence of pyridine; and finally 3) pyridinium p-toluenesulfonate (PPTS) in EtOH.

Drug Information Express,Drug R&D,Chemical Database,Patent Search.
Copyright © 2006-2026 Drug Future. All rights reserved.Contact Us