【药物名称】Rivastatin, Cerivastatin sodium, Bay-w-6228, Certa, Baycol, Lipobay(free acid)
化学结构式(Chemical Structure):
参考文献No.10864
标题:Substituted pyridines
作者:Angerbauer, R.; Fey, P.; H黚sch, W.; Philipps, T.; Bischoff, H.; Petzinna, D.; Schmidt, D.; Thomas, G. (Bayer AG)
来源:AU 8928617; EP 0325130; JP 1989216974; US 5006530; US 5169857
合成路线图解说明:

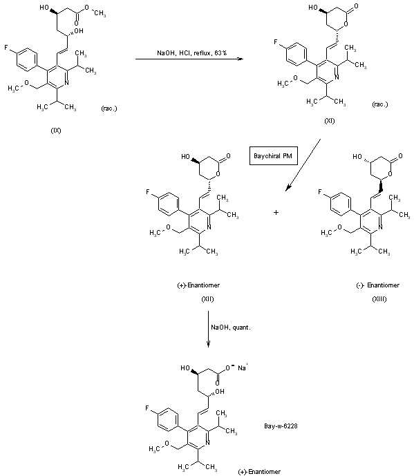
The compound can be obtained in a multistep synthesis as outlined in Scheme 18923701a. The cyclization of ethyl 3-amino-4-methylpent-2-enoate and 4-(ethoxycarbonyl)-5-(4-fluorophenyl)-2-methylpent-4-en-3-one (II) in a conventional dihydropyridine synthesis gives the dihydropyridine (III), which is oxidized to the symmetric penta-substituted pyridine (IV). After selective monoreduction with Red-Al the pyridine alcohol (V) is methylated to (VI). The second ester group is converted to the aldehyde (VII) in a two-step reduction/oxidation procedure. trans-Selective Wittig-Horner reaction with diethyl 2-(cyclohexylamino)vinylphosphonate affords the alpha,beta-unsaturated aldehyde (VIII). The condensation of (VIII) with methyl acetoacetate and subsequent erythro-selective reduction with triethylborane and NaBH4 results in the racemic dihydroxyester (IX). The reaction of (IX) with (S)-(+)-phenylglycinol yields the two diastereomeric (S)-(+)-phenylglycinolamides which can be separated on a silical gel column. After hydrolysis of the phenylglycinolamide (X) the sodium salt of the (+)-enantiomer is obtained.

参考文献No.18132
标题:Substituted pyridyl-dihydroxy-heptenoic acid and its salts
作者:Angerbauer, R.; Fey, P.; H黚sch, W.; Philipps, T.; Bischoff, H.; Petzinna, D.; Schmidt, D.; Thomas, G. (Bayer AG)
来源:DE 4040026; EP 0491226; JP 1992308573; US 5177080
合成路线图解说明:

The compound can be obtained in a multistep synthesis as outlined in Scheme 18923701a. The cyclization of ethyl 3-amino-4-methylpent-2-enoate and 4-(ethoxycarbonyl)-5-(4-fluorophenyl)-2-methylpent-4-en-3-one (II) in a conventional dihydropyridine synthesis gives the dihydropyridine (III), which is oxidized to the symmetric penta-substituted pyridine (IV). After selective monoreduction with Red-Al the pyridine alcohol (V) is methylated to (VI). The second ester group is converted to the aldehyde (VII) in a two-step reduction/oxidation procedure. trans-Selective Wittig-Horner reaction with diethyl 2-(cyclohexylamino)vinylphosphonate affords the alpha,beta-unsaturated aldehyde (VIII). The condensation of (VIII) with methyl acetoacetate and subsequent erythro-selective reduction with triethylborane and NaBH4 results in the racemic dihydroxyester (IX). The reaction of (IX) with (S)-(+)-phenylglycinol yields the two diastereomeric (S)-(+)-phenylglycinolamides which can be separated on a silical gel column. After hydrolysis of the phenylglycinolamide (X) the sodium salt of the (+)-enantiomer is obtained.

参考文献No.253405
标题:BAY W 6228
作者:Bischoff, H.; Ritter, W.; Steinke, W.; Angerbauer, R.
来源:Drugs Fut 1994,19(6),537
合成路线图解说明:

The compound can be obtained in a multistep synthesis as outlined in Scheme 18923701a. The cyclization of ethyl 3-amino-4-methylpent-2-enoate and 4-(ethoxycarbonyl)-5-(4-fluorophenyl)-2-methylpent-4-en-3-one (II) in a conventional dihydropyridine synthesis gives the dihydropyridine (III), which is oxidized to the symmetric penta-substituted pyridine (IV). After selective monoreduction with Red-Al the pyridine alcohol (V) is methylated to (VI). The second ester group is converted to the aldehyde (VII) in a two-step reduction/oxidation procedure. trans-Selective Wittig-Horner reaction with diethyl 2-(cyclohexylamino)vinylphosphonate affords the alpha,beta-unsaturated aldehyde (VIII). The condensation of (VIII) with methyl acetoacetate and subsequent erythro-selective reduction with triethylborane and NaBH4 results in the racemic dihydroxyester (IX). The reaction of (IX) with (S)-(+)-phenylglycinol yields the two diastereomeric (S)-(+)-phenylglycinolamides which can be separated on a silical gel column. After hydrolysis of the phenylglycinolamide (X) the sodium salt of the (+)-enantiomer is obtained.

合成路线图解说明:

In an alternative approach, the racemic dihydroxymethyl ester (IX) is converted to the racemic lactone (XI), which can be separated into the pure enantiomers on a large-scale chromatography using the newly developed chiral phase Baychiral PM. Finally, the (+)-lactone (XII) is hydrolyzed to BAY W 6228.

参考文献No.259814
标题:Stereoselective biological activity of the synthetic HMG-CoA reductase inhibitor BAY W 6228
作者:Angerbauer, R.; Bischoff, H.; B鰉er, B.; Fey, P.; Grosser, R.; H黚sch, W.; Lange, W.; Lautz, J.; Philipps, T.; Schmidt, D.
来源:2nd Eur Med Chem Conf (March 31-April 4, Bad Nauheim) 1993,1993
合成路线图解说明:

In an alternative approach, the racemic dihydroxymethyl ester (IX) is converted to the racemic lactone (XI), which can be separated into the pure enantiomers on a large-scale chromatography using the newly developed chiral phase Baychiral PM. Finally, the (+)-lactone (XII) is hydrolyzed to BAY W 6228.

参考文献No.528822
标题:Synthesis of [C14]cerivastatin
作者:Angerbauer, R.; Radtke, M.
来源:J Label Compd Radiopharm 1999,42(2),101
合成路线图解说明:

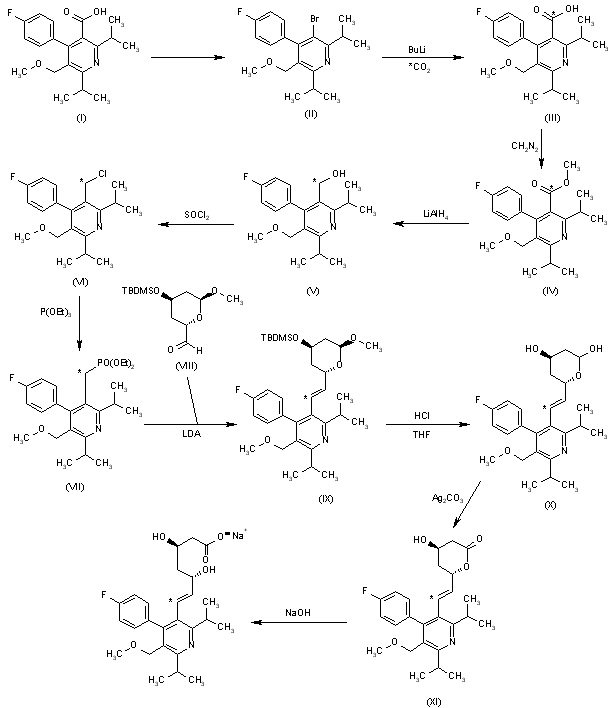
A synthesis of [14C]-labeled cerivastatin has been developed: The decarboxylative bromination of 4-(4-fluorophenyl)-2,6-diisopropyl-5-(methoxymethyl)pyridine-3-carboxylic acid (I) gave the bromopyridine (II), which is treated with BuLi and [14C]-labeled CO2 affording the labeled carboxylic acid (III). The methylation of (III) with diazomethane gave the corresponding methyl ester (IV), which was reduced with LiAlH4 in ether to the alcohol (V). The reaction of (V) with SOCl2 afforded the chloromethyl derivative (VI), which was condensed with triethyl phosphite at 180 C to give the phosphonate (VII). The condensation of (VII) with the tetrahydropyran-2-carbaldehyde (VIII) by means of LDA in THF yielded the olefine (IX), which was treated with HCl in aqueous THF eliminating the protecting groups and thus, providing the epimeric mixture of hemiacetals (X). The oxidation of (X) with silver carbonate in refluxing toluene gave the lactone (XI), which was finally treated with NaOH in water/acetonitrile.

Drug Information Express,Drug R&D,Chemical Database,Patent Search.
Copyright © 2006-2026 Drug Future. All rights reserved.Contact Us