【药物名称】Tasosartan, WAY-126756, WAY-ANA-756, ANA-756, Verdia
化学结构式(Chemical Structure):
参考文献No.18887
标题:Substd. pyridopyrimidines useful as angiotensin II antagonists
作者:Ellingboe, J.W.; Nikaido, M.; Bagli, J. (American Home Products Corp.)
来源:EP 0539086; US 5149699; US 5256654
合成路线图解说明:

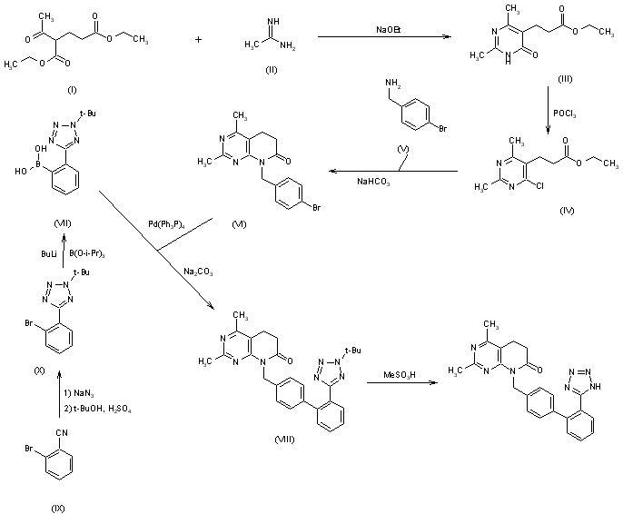
1) The cyclization of 2-acetylglutaric acid diethyl ester (I) with acetamidine (II) by means of sodium ethoxide in refluxing ethyl ether gives the pyrimidinone derivative (III), which by treatment with refluxing phosphorus oxychloride is converted into the chloropyrimidine (IV). The cyclization of (IV) with 4-bromobenzylamine (V) by means of NaHCO3 in refluxing butanol affords 8-(4-bromobenzyl)-2,4-dimethyl-5,6,7,8-tetrahydropyrido[2,3-d]pyrimidin-7-one (VI), which is condensed with 2-(2-tert-butyltetrazol-5-yl)phenylboronic acid (VII) by means of tetrakis(triphenylphosphine)palladium in refluxing toluene/ethanol to give 8-[2'-(2-tert-butyltetrazol-5-yl)biphenyl-4-ylmethyl]-2,4-dimethyl-5,6,7,8-tetrahydropyrido[2,3-d]pyrimidin-7-one (VIII). Finally, this compound is deprotected with methanesulfonic acid in refluxing toluene. (1,2) 2) The boronic acid (VII) has been obtained as follows: The cyclization of 2-bromobenzonitrile (IX) with sodium azide in hot DMF, followed by protection with tert-butanol in trifluoroacetic acid/H2SO4 gives 5-(2-bromophenyl)-2-tertbutyltetrazole (X), which is finally condensed with triisopropyl borate by means of butyllithium in THF and hydrolyzed with HCl. (1,2)

参考文献No.33923
标题:Process for preparation of biphenyl derivs
作者:Giguere, P.; Iera, S.; Bernatchez, M.; Barreca, G.; Castaldi, G.; Cannata, V. (American Home Products Corp.)
来源:WO 9640684
合成路线图解说明:

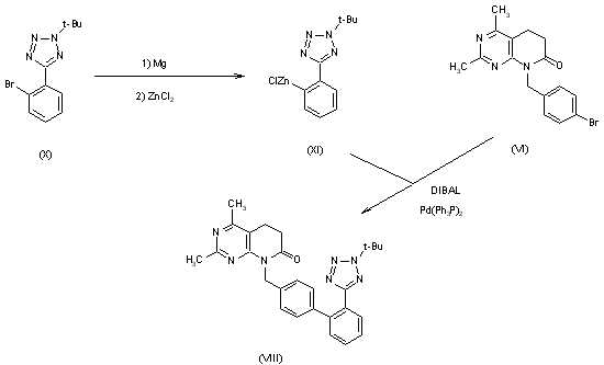
3) The 8-[2'-(2-tert-butyltetrazol-5-yl)biphenyl-4-ylmethyl]-2,4-dimethyl-5,6,7,8-tetrahydropyrido[2,3-d]pyrimidin-7-one (VIII) can also be obtained as follows: The reaction of the previously described 5-(2-bromophenyl)-2-tertbutyltetrazole (X) with Mg in THF catalyzed with 1,2-dibromoethane gives the corresponding Grignard reagent, which is treated with ZnCl2 yielding the organozinc derivative (XI). Finally, this compound is condensed with the previously described intermediate 8-(4-bromobenzyl)-2,4-dimethyl-5,6,7,8-tetrahydropyrido-[2,3-d]pyrimidin-7-one (VI) catalyzed by bis(triphenylphosphine)palladium and diisobutylaluminum hydride in THF.

参考文献No.249541
标题:Pyrido[2,3-p]pyrimidine angiotensin II antagonists
作者:Ellingboe, J.W.; Antane, M.; Nguyen, T.T.; Collini, M.D.; Antane, S.A.; Bender, R.H.W.; Hartupee, D.; White, V.; McCallum, J.S.; Park, C.H.; et al.
来源:J Med Chem 1994,37(4),542-50
合成路线图解说明:

1) The cyclization of 2-acetylglutaric acid diethyl ester (I) with acetamidine (II) by means of sodium ethoxide in refluxing ethyl ether gives the pyrimidinone derivative (III), which by treatment with refluxing phosphorus oxychloride is converted into the chloropyrimidine (IV). The cyclization of (IV) with 4-bromobenzylamine (V) by means of NaHCO3 in refluxing butanol affords 8-(4-bromobenzyl)-2,4-dimethyl-5,6,7,8-tetrahydropyrido[2,3-d]pyrimidin-7-one (VI), which is condensed with 2-(2-tert-butyltetrazol-5-yl)phenylboronic acid (VII) by means of tetrakis(triphenylphosphine)palladium in refluxing toluene/ethanol to give 8-[2'-(2-tert-butyltetrazol-5-yl)biphenyl-4-ylmethyl]-2,4-dimethyl-5,6,7,8-tetrahydropyrido[2,3-d]pyrimidin-7-one (VIII). Finally, this compound is deprotected with methanesulfonic acid in refluxing toluene. (1,2) 2) The boronic acid (VII) has been obtained as follows: The cyclization of 2-bromobenzonitrile (IX) with sodium azide in hot DMF, followed by protection with tert-butanol in trifluoroacetic acid/H2SO4 gives 5-(2-bromophenyl)-2-tertbutyltetrazole (X), which is finally condensed with triisopropyl borate by means of butyllithium in THF and hydrolyzed with HCl. (1,2)

参考文献No.416896
标题:Tasosartan
作者:Merlos, M.; Casas, A.; Casta馿r, J.
来源:Drugs Fut 1997,22(8),850
合成路线图解说明:

1) The cyclization of 2-acetylglutaric acid diethyl ester (I) with acetamidine (II) by means of sodium ethoxide in refluxing ethyl ether gives the pyrimidinone derivative (III), which by treatment with refluxing phosphorus oxychloride is converted into the chloropyrimidine (IV). The cyclization of (IV) with 4-bromobenzylamine (V) by means of NaHCO3 in refluxing butanol affords 8-(4-bromobenzyl)-2,4-dimethyl-5,6,7,8-tetrahydropyrido[2,3-d]pyrimidin-7-one (VI), which is condensed with 2-(2-tert-butyltetrazol-5-yl)phenylboronic acid (VII) by means of tetrakis(triphenylphosphine)palladium in refluxing toluene/ethanol to give 8-[2'-(2-tert-butyltetrazol-5-yl)biphenyl-4-ylmethyl]-2,4-dimethyl-5,6,7,8-tetrahydropyrido[2,3-d]pyrimidin-7-one (VIII). Finally, this compound is deprotected with methanesulfonic acid in refluxing toluene. (1,2) 2) The boronic acid (VII) has been obtained as follows: The cyclization of 2-bromobenzonitrile (IX) with sodium azide in hot DMF, followed by protection with tert-butanol in trifluoroacetic acid/H2SO4 gives 5-(2-bromophenyl)-2-tertbutyltetrazole (X), which is finally condensed with triisopropyl borate by means of butyllithium in THF and hydrolyzed with HCl. (1,2)

合成路线图解说明:

3) The 8-[2'-(2-tert-butyltetrazol-5-yl)biphenyl-4-ylmethyl]-2,4-dimethyl-5,6,7,8-tetrahydropyrido[2,3-d]pyrimidin-7-one (VIII) can also be obtained as follows: The reaction of the previously described 5-(2-bromophenyl)-2-tertbutyltetrazole (X) with Mg in THF catalyzed with 1,2-dibromoethane gives the corresponding Grignard reagent, which is treated with ZnCl2 yielding the organozinc derivative (XI). Finally, this compound is condensed with the previously described intermediate 8-(4-bromobenzyl)-2,4-dimethyl-5,6,7,8-tetrahydropyrido-[2,3-d]pyrimidin-7-one (VI) catalyzed by bis(triphenylphosphine)palladium and diisobutylaluminum hydride in THF.

参考文献No.476299
标题:Metabolites of the angiotensin II antagonist tasosartan: The importance of a second acidic group
作者:Ellingboe, J.W.; Collini, M.D.; Quagliato, D.; Chen, J.; Antane, M.; Schmid, J.; Hartupee, D.; White, V.; Park, C.H.; Tanikella, T.; Bagli, J.F.
来源:J Med Chem 1998,41(22),4251
合成路线图解说明:

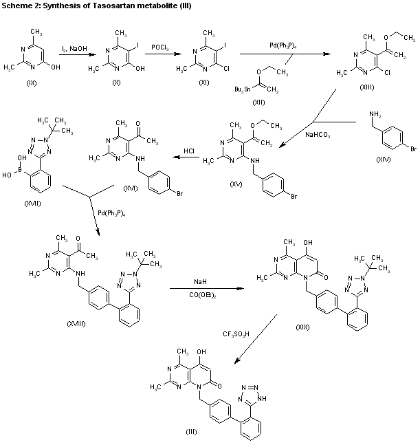
1) The oxidation of tasosartan (V) with KMnO4 and NaOH in water gives metabolite (I). 2) The condensation of tasosartan (V) with 2,3,4-tri-O-acetyl-1alpha-bromo-1-deoxy-D-glucopyranosyluronic acid methyl ester (VI) by means of KOH in refluxing acetone gives the acetylated glucuronide methyl ester (VII), which is deacetylated with KCN in methanol yielding glucuronide methyl ester (VIII). Finally, this compound is hydrolyzed with NaOH in methanol to afford metabolite (II).

合成路线图解说明:

3) The iodination of 2,6-dimethylpyrimidin-4-ol (IX) with I2/NaOH in refluxing water gives 5-iodo-2,6-dimethylpyrimidin-4-ol (X), which is treated with POCl3 in refluxig toluene yielding 4-chloro-5-iodo-2,6-dimethylpyrimidine (XI). The reaction of (XI) with (1-ethoxyvinyl)tributyltin (XII) catalyzed by tetrakis(triphenylphosphine)palladium in refluxing dioxane affords 4-chloro-5-(1-ethoxyvinyl)-2,6-dimethylpyrimidine (XIII), which is condensed with 4-bromobenzylamine (XIV) by means of NaHCO3 in refluxing butanol giving 4-(4-bromobenzylamino)-5-(1-ethoxyvinyl)-2,6-dimethylpyrimidine (XV). The hydrolysis of (XV) with HCl in refluxing acetone yields the corresponding acetyl derivative (XVI), which is condensed with 2-(2-tert-butyl-2H-tetrazol-5-yl)phenylboronic acid (XVII) by means of tetrakis(triphenylphosphine)palladium to afford the biphenyl derivative (XVIII). The cyclization of (XVIII) with diethyl carbonate and NaH in hot THF gives 8-[2'-(2-tert-butyl-2H-tetrazol-5-yl)biphenyl-4-ylmethyl]-5-hydroxy-2,4-dimethylpyrido[2,3-d]pyrimidin-7(8H)-one (XIX), which is finally deprotected with trifluoromethanesulfonic acid in refluxing toluene to give metabolite (III).

合成路线图解说明:

4) The condensation of 2,4-dimethylpyrido[2,3-d]pyrimidin-7(8H)-one (XX) with 4'-(bromomethyl)biphenyl-2-carbonitrile (XXI) by means of NaH in DMF gives 8-(2'-cyanobiphenyl-4-ylmethyl)-2,4-dimethylpyrido[2,3-d]pyrimidin-7(8H)-one (XIX), which is then cyclized with sodium azide in refluxing xylene to afford metabolite (IV).

Drug Information Express,Drug R&D,Chemical Database,Patent Search.
Copyright © 2006-2026 Drug Future. All rights reserved.Contact Us