【药物名称】F-910754
化学结构式(Chemical Structure):
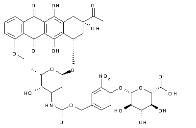
参考文献No.469552
标题:Prodrugs of anthracyclines for use in antibody-directed enzyme prodrug therapy
作者:Florent, J.-C.; Dong, X.; Gaudel, G.; Mitaku, S.; Monneret, C.; Gesson, J.P.; Jacquesy, J.C.; Mondon, M.; Renoux, B.; Andrianomenjanahary, S.; Michel, S.; Koch, M.; Tillequin, F.; Gerken, M.; Czech, J.; Straub, R.; Bosslet, K.
来源:J Med Chem 1998,41(19),3572
合成路线图解说明:

Ring opening of D-glucuronolactone (I) with NaOMe, followed by peracetylation and bromination of the resulting methyl uronate (II), afforded bromopyranose (III). Coupling of (III) with benzaldehyde (IV) using silver oxide in acetonitrile provided aldehyde (V), which was reduced with NaBH4 in the presence of silica gel in CHCl3-i-PrOH at 0 C to give benzyl alcohol (VI). Subsequent reaction with 4-nitrophenyl chloroformate (VII) in the presence of Et3N formed nitrophenyl carbonate (VIII) which, without purification, was coupled with doxorubicin (IX) in the presence of Et3N in DMF to give (X).

合成路线图解说明:

Deacetylation of (X) on treatment with NaOMe in MeOH-DMF yielded methyl ester (XI), which was finally hydrolyzed with NaOH in H2O-THF at -10 C to furnish the target uronic acid.

Drug Information Express,Drug R&D,Chemical Database,Patent Search.
Copyright © 2006-2026 Drug Future. All rights reserved.Contact Us