【药物名称】Bay-x-1005
化学结构式(Chemical Structure):
参考文献No.11613
标题:Substd. 4-(quinoline-2-yl-methoxy)phenyl-acetic acid derivs
作者:Mohrs, K.; Raddatz, S.; Perzborn, E.; Fruchtmann, R.; Kohlsdorfer, C.; M黮ler-Peddinghaus, R.; Theisen, P. (Bayer AG)
来源:AU 8935270; DE 3900261; EP 0344519; JP 1990019359; JP 1998053577; US 4970215
合成路线图解说明:

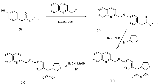
The racemic mixture containing the (R)-enantiomer BAY X 1005 (IV) can be prepared according to the following scheme: 4-Hydroxyphenylacetic acid methyl ester (I) is coupled with 2-chloromethylquinoline and potassium carbonate in DMF. The resulting product (II) is alkylated with cyclopentylbromide and sodium hydride in DMF to give product (III). Final saponification is undertaken with sodium hydroxide in methanol leading to the racemic carboxylic acid (IV).

合成路线图解说明:

Separation of the Enantiomer: The enantiomers are separated from the racemic carboxylic acid (IV). After activation of the carboxylic acid group as imidazolide (V), this compound reacts with L-phenylglycinol and toluene sulfonic acid in DMF forming the diastereomeric mixture of L-phenylglycinolamides. These diastereomers can be separated by fractionated crystallization using ethanol (diastereomer VI) or a mixture of diethylether and isopropanol (diastereomer VII) as solvents. The release of enantiomerically pure carboxylic acids (VIII) and (IX) takes place by cleavage of the amide bond with sulfuric acid, neutralization and recrystallization from ethanol. The (R)-(-)-enantiomer is the active leukotriene synthesis inhibitor BAY X 1005.

合成路线图解说明:

Stereoselective Synthesis of BAY X 1005: To prepare larger amounts of BAY X 1005 a second order stereoselective synthesis was elaborated: The starting material [4-(2-quinolinylmethoxy)phenyl]acetic acid (X) is esterified with D-menthol and toluene sulfonic acid in boiling toluene. Following alkylation with cyclopentylbromide and excess potassium tert-butylate in DMF leads to a diastereomeric mixture. Under the reaction conditions the diastereomer (XII) precipitates, whereas the remaining soluble diastereomer undergoes continuous epimerization. After crystallization a yield of > 85% of the desired diastereomer (XII) results with a de > 99%. Acidic cleavage with sulfuric acid yields the (R)-(-)-enantiomer BAY X 1005.

参考文献No.318267
标题:BAY X 1005
作者:M黮ler-Peddinghaus, R.; Raddatz, S.
来源:Drugs Fut 1995,20(10),996
合成路线图解说明:

The racemic mixture containing the (R)-enantiomer BAY X 1005 (IV) can be prepared according to the following scheme: 4-Hydroxyphenylacetic acid methyl ester (I) is coupled with 2-chloromethylquinoline and potassium carbonate in DMF. The resulting product (II) is alkylated with cyclopentylbromide and sodium hydride in DMF to give product (III). Final saponification is undertaken with sodium hydroxide in methanol leading to the racemic carboxylic acid (IV).

合成路线图解说明:

Separation of the Enantiomer: The enantiomers are separated from the racemic carboxylic acid (IV). After activation of the carboxylic acid group as imidazolide (V), this compound reacts with L-phenylglycinol and toluene sulfonic acid in DMF forming the diastereomeric mixture of L-phenylglycinolamides. These diastereomers can be separated by fractionated crystallization using ethanol (diastereomer VI) or a mixture of diethylether and isopropanol (diastereomer VII) as solvents. The release of enantiomerically pure carboxylic acids (VIII) and (IX) takes place by cleavage of the amide bond with sulfuric acid, neutralization and recrystallization from ethanol. The (R)-(-)-enantiomer is the active leukotriene synthesis inhibitor BAY X 1005.

合成路线图解说明:

Stereoselective Synthesis of BAY X 1005: To prepare larger amounts of BAY X 1005 a second order stereoselective synthesis was elaborated: The starting material [4-(2-quinolinylmethoxy)phenyl]acetic acid (X) is esterified with D-menthol and toluene sulfonic acid in boiling toluene. Following alkylation with cyclopentylbromide and excess potassium tert-butylate in DMF leads to a diastereomeric mixture. Under the reaction conditions the diastereomer (XII) precipitates, whereas the remaining soluble diastereomer undergoes continuous epimerization. After crystallization a yield of > 85% of the desired diastereomer (XII) results with a de > 99%. Acidic cleavage with sulfuric acid yields the (R)-(-)-enantiomer BAY X 1005.

Drug Information Express,Drug R&D,Chemical Database,Patent Search.
Copyright © 2006-2026 Drug Future. All rights reserved.Contact Us