【药物名称】Lintitript, SR-27897
化学结构式(Chemical Structure):
参考文献No.15111
标题:Heterocyclic derivs. of acylaminothiazole, their preparation and pharmaceutical compsns. containing them
作者:Bras, J.-P.; Frehel, D.; Gully, D.; Valette, G. (Sanofi-Synth閘abo )
来源:EP 0432040; FR 2655344; FR 2661677; JP 1991279374; JP 1998130147; US 5189049
合成路线图解说明:

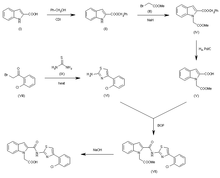
The esterification of indole-2-carboxylic acid (I) with benzyl alcohol and CDI gives the corresponding benzyl ester (II), which is alkylated with methyl bromoacetate (III) by means of NaH in DMF yielding 1-(methoxycarbonylmethyl)-1H-indole-2-carboxylic acid benzyl ester (IV). The debenzylation of (IV) with H2 over Pd/C in ethanol/DMF affords the free acid (V), which is condensed with 4-(2-chlorophenyl)thiazol-2-amine (VI) by means of benzotriazolyloxytris(dimethylamino)phosphonium hexafluorophosphate (BOP) in DMF to give the carboxamide (VII). Finally, the ester group of (VII) is hydrolyzed with NaOH or KOH in methanol/water.

参考文献No.42061
标题:Method for preparing lintitript potassium salt
作者:Radisson, J. (Sanofi-Synth閘abo )
来源:FR 2781227; WO 0005233
合成路线图解说明:

The esterification of indole-2-carboxylic acid (I) with benzyl alcohol and CDI gives the corresponding benzyl ester (II), which is alkylated with methyl bromoacetate (III) by means of NaH in DMF yielding 1-(methoxycarbonylmethyl)-1H-indole-2-carboxylic acid benzyl ester (IV). The debenzylation of (IV) with H2 over Pd/C in ethanol/DMF affords the free acid (V), which is condensed with 4-(2-chlorophenyl)thiazol-2-amine (VI) by means of benzotriazolyloxytris(dimethylamino)phosphonium hexafluorophosphate (BOP) in DMF to give the carboxamide (VII). Finally, the ester group of (VII) is hydrolyzed with NaOH or KOH in methanol/water.

Drug Information Express,Drug R&D,Chemical Database,Patent Search.
Copyright © 2006-2026 Drug Future. All rights reserved.Contact Us