【药物名称】BOF-4272
化学结构式(Chemical Structure):
参考文献No.8327
标题:Pyrazolotriazine cpds
作者:Fujii, S.; Kawamura, H.; Kiyokawa, H.; Yamada, S. (Otsuka Pharmaceutical Co., Ltd.)
来源:EP 0269859; JP 1989079184; JP 1994316578; US 4824834
合成路线图解说明:

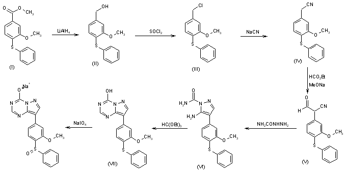
The reduction of 3-methoxy-4-(phenylthio)benzoic acid methyl ester (I) with LiAlH4 in ether gives 3-methoxy-4-(phenylthio)benzyl alcohol (II), which by reaction with SOCl2 in dichloromethane yields the corresponding benzyl chloride (III). The reaction of (III) with NaCN in DMF affords 3-methoxy-4-(phenylthio)phenylacetonitrile (IV), which by reaction with ethylformate by means of sodium methoxide in benzene gives 2-formyl-2-[3-methoxy-4-(phenylthio)phenyl]acetonitrile (V). The cyclization of (V) with semicarbazide in methanol - water yields 3-amino-4-[3-methoxy-4-(phenylthio)phenyl]pyrazole-2-carboxamide (VI), which is submitted to a new cyclization process with ethyl orthoformate at 110 C, affording 8-[3-methoxy-4-(phenylthio)phenyl]pyrazolo[1,5-a]-1,3,5-triazine (VII). Finally, this compound is oxidized with sodium metaperiodate in methanol - water. When the oxidation of (VII) is performed with tert-butyl hypochlorite in l-(-)-menthol and pyridine and cooled at -25 to -30 C, the (-)-BOF-4272 isomer is obtained; with d-(+)-menthol, the (+)-BOF-4272 is also obtained.

参考文献No.14311
标题:Salts of optically active 4-hydroxy-8-(3-lower alkoxy-4-phenylsulfinylphenyl)pyrazolo[1,5-a]-1,3,5-triazines and process for production thereof
作者:Hashimoto, K.; Inai, M. (Otsuka Pharmaceutical Co., Ltd.)
来源:AU 9160985; EP 0414200; JP 1991163082; US 5137887
合成路线图解说明:

The reduction of 3-methoxy-4-(phenylthio)benzoic acid methyl ester (I) with LiAlH4 in ether gives 3-methoxy-4-(phenylthio)benzyl alcohol (II), which by reaction with SOCl2 in dichloromethane yields the corresponding benzyl chloride (III). The reaction of (III) with NaCN in DMF affords 3-methoxy-4-(phenylthio)phenylacetonitrile (IV), which by reaction with ethylformate by means of sodium methoxide in benzene gives 2-formyl-2-[3-methoxy-4-(phenylthio)phenyl]acetonitrile (V). The cyclization of (V) with semicarbazide in methanol - water yields 3-amino-4-[3-methoxy-4-(phenylthio)phenyl]pyrazole-2-carboxamide (VI), which is submitted to a new cyclization process with ethyl orthoformate at 110 C, affording 8-[3-methoxy-4-(phenylthio)phenyl]pyrazolo[1,5-a]-1,3,5-triazine (VII). Finally, this compound is oxidized with sodium metaperiodate in methanol - water. When the oxidation of (VII) is performed with tert-butyl hypochlorite in l-(-)-menthol and pyridine and cooled at -25 to -30 C, the (-)-BOF-4272 isomer is obtained; with d-(+)-menthol, the (+)-BOF-4272 is also obtained.

参考文献No.216064
标题:BOF-4272
作者:Prous, J.; Graul, A.; Casta馿r, J.
来源:Drugs Fut 1993,18(9),791
合成路线图解说明:

The reduction of 3-methoxy-4-(phenylthio)benzoic acid methyl ester (I) with LiAlH4 in ether gives 3-methoxy-4-(phenylthio)benzyl alcohol (II), which by reaction with SOCl2 in dichloromethane yields the corresponding benzyl chloride (III). The reaction of (III) with NaCN in DMF affords 3-methoxy-4-(phenylthio)phenylacetonitrile (IV), which by reaction with ethylformate by means of sodium methoxide in benzene gives 2-formyl-2-[3-methoxy-4-(phenylthio)phenyl]acetonitrile (V). The cyclization of (V) with semicarbazide in methanol - water yields 3-amino-4-[3-methoxy-4-(phenylthio)phenyl]pyrazole-2-carboxamide (VI), which is submitted to a new cyclization process with ethyl orthoformate at 110 C, affording 8-[3-methoxy-4-(phenylthio)phenyl]pyrazolo[1,5-a]-1,3,5-triazine (VII). Finally, this compound is oxidized with sodium metaperiodate in methanol - water. When the oxidation of (VII) is performed with tert-butyl hypochlorite in l-(-)-menthol and pyridine and cooled at -25 to -30 C, the (-)-BOF-4272 isomer is obtained; with d-(+)-menthol, the (+)-BOF-4272 is also obtained.

Drug Information Express,Drug R&D,Chemical Database,Patent Search.
Copyright © 2006-2026 Drug Future. All rights reserved.Contact Us