【药物名称】KDI-792, FR-121070, FK-070
化学结构式(Chemical Structure):
参考文献No.12386
标题:Pyrrolidine derivs
作者:Setoi, H.; Sawada, A.; Tanaka, H.; Hashimoto, M. (Fujisawa Pharmaceutical Co., Ltd.)
来源:AU 8943753; EP 0367130; JP 1990152960; US 5130323; US 5264453; US 5514701
合成路线图解说明:

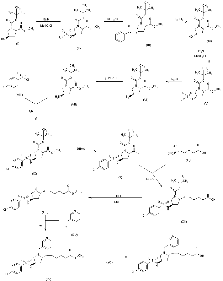
1) The mesylation of (2S,4R)-1-(tert-butoxycarbonyl)-4-hydroxypyrrolidine-2-carboxylic acid methyl ester (I) with mesyl chloride and triethylamine in dichloromethane gives the corresponding mesylate (II), which is treated with sodium benzoate in DMSO yielding the (2S,4S)-benzoate (III). The hydrolysis of (III) with K2CO3 in methanol affords (2S,4S)-1-(tert-butoxycarbonyl)-4-hydroxypyrrolidine-2-carboxylic acid methyl ester (IV), which is mesylated with mesyl chloride and triethylamine as before giving the mesylate (V). The reaction of (V) with sodium azide in DMSO yields the corresponding (2S,4R)-azide (VI), which is reduced with H2 over Pd/C in methanol affording (2S,4R)-4-amino-1-(tert-butoxycarbonyl)pyrrolidine-2-carboxylic acid methyl ester (VII). The acylation of (VII) with 4-chlorobenzenesulfonyl chloride (VIII) and triethylamine in dichloromethane gives the corresponding amide (IX), which is reduced with diisobutylaluminum hydride (DIBAL) in toluene/THF yielding the aldehyde (X). The Wittig condensation of aldehyde (X) with (4-carboxybutyl)triphenylphosphonium bromide (XI) by means of lithium bis(trimethylsilyl)amide (LBSA) in HMPT affords 6-[1-(tert-butoxycarbonyl)-4(R)-(4-chlorophenylsulfonamido)pyrrolidin-2(S)-yl]-5(Z)-hexenoic acid (XII), which is esterified and deprotected with methanol/HCl to give 6-[4(R)-(4-chlorophenylsulfonamido)pyrrolidin-2(S)-yl]-5(Z)-hexenoic acid methyl ester (XIII). The condensation of (XIII) with 3-(chloromethyl)pyridine (XIV) and triethylamine in refluxing THF yields 6-[4(R)-(4-chlorophenylsulfonamido)-1-(3-pyridylmethyl)pyrrolidin-2(S)-yl]-5(Z)-hexenoic acid methyl ester (XV), which is finally hydrolyzed with NaOH in methanol/water.

参考文献No.32654
标题:Novel pyrrolidine derivs
作者:Kamijo, T.; Hokari, H.; Hirata, K.; Yanagi, T.; Oda, Y. (Kissei Pharmaceutical Co., Ltd.)
来源:JP 1996012670
合成路线图解说明:

3) The cyclization of the previously described trans-4-(methanesulfonyloxy)-1-(3-pyridylmethyl)-L-prolinemethyl ester (XXI) with NaOH in acetonitrile gives the expected lactone (XXVIII), which by methanolysis with K2CO3 in methanol yields cis-4-hydroxy-1-(3-pyridylmethyl)-L-proline methyl ester (XXIX). The acylation of (XXIX) with 4-nitrophenylsulfonyl chloride (XXX) and triethylamine in dichloromethane affords the corresponding cis-sulfonyloxyproline derivative (XXXI), which is treated with the sodium salt of 4-chlorophenylsulfonamide (XXXII) in DMSO to give trans-4-(4-chlorophenylsulfonamido)-1-(3-pyridylmethyl)-L-proline methyl ester (XXV) already obtained. The reduction of (XXV) with NaBH4 in THF yields the corresponding hydroxymethyl derivative (XXXIII), which is oxidized with SO3/pyridine to the previously described aldehyde (XXVI). 4) The condensation of the previously described cis-4-hydroxyproline derivative (XXIX) with N-(4-chlorophenylsulfonyl)carbamic acid methyl ester (XXXIV) by means of triphenylphosphine and diethyl azodicarboxylate (DEAD) in THF gives (2S,4R)-trans-4-[4-chloro-N-(methoxycarbonyl)phenylsulfonamido]-1-(3-pyridylmethyl)pyrrolidine-2-carboxylic acid methyl ester (XXXV), which is reduced with NaBH4 to the trans-hydroxymethyl derivative (XXXIII), already described.

参考文献No.32655
标题:Manufacturing method of (5Z)-6-[(2S,4R)-4-(4-chlorophenylsulfonylamino)-1-(3-pyridylmethyl)-2-pyrrolidinyl-5-hexenoic acid and its intermediates
作者:Kamijo, T.; Hokari, H.; Hirata, K.; Yanagi, T.; Oda, Y. (Kissei Pharmaceutical Co., Ltd.)
来源:JP 1995291966
合成路线图解说明:

3) The cyclization of the previously described trans-4-(methanesulfonyloxy)-1-(3-pyridylmethyl)-L-prolinemethyl ester (XXI) with NaOH in acetonitrile gives the expected lactone (XXVIII), which by methanolysis with K2CO3 in methanol yields cis-4-hydroxy-1-(3-pyridylmethyl)-L-proline methyl ester (XXIX). The acylation of (XXIX) with 4-nitrophenylsulfonyl chloride (XXX) and triethylamine in dichloromethane affords the corresponding cis-sulfonyloxyproline derivative (XXXI), which is treated with the sodium salt of 4-chlorophenylsulfonamide (XXXII) in DMSO to give trans-4-(4-chlorophenylsulfonamido)-1-(3-pyridylmethyl)-L-proline methyl ester (XXV) already obtained. The reduction of (XXV) with NaBH4 in THF yields the corresponding hydroxymethyl derivative (XXXIII), which is oxidized with SO3/pyridine to the previously described aldehyde (XXVI). 4) The condensation of the previously described cis-4-hydroxyproline derivative (XXIX) with N-(4-chlorophenylsulfonyl)carbamic acid methyl ester (XXXIV) by means of triphenylphosphine and diethyl azodicarboxylate (DEAD) in THF gives (2S,4R)-trans-4-[4-chloro-N-(methoxycarbonyl)phenylsulfonamido]-1-(3-pyridylmethyl)pyrrolidine-2-carboxylic acid methyl ester (XXXV), which is reduced with NaBH4 to the trans-hydroxymethyl derivative (XXXIII), already described.

参考文献No.32656
标题:Process for producing pyrrolidine deriv. and salt thereof
作者:Kagara, K.; Goto, S.; Yonishi, S.; Ikushima, M.; Baba, Y.; Horiai, H. (Fujisawa Pharmaceutical Co., Ltd.)
来源:WO 9401400
合成路线图解说明:

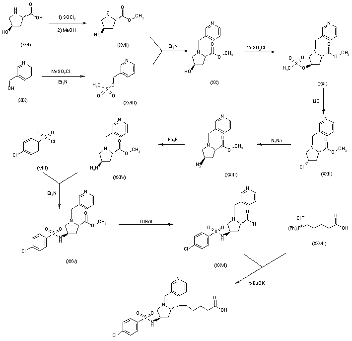
2) The esterification of trans-4-hydroxy-L-proline (XVI) with SOCl2 and methanol gives the methyl ester (XVII), which is condensed with 3-(methanesulfonyloxymethyl)pyridine (XVIII), obtained by treatment of 3-(hydroxymethyl)pyridine (XIX) with methanesulfonyl chloride, by means of triethylamine yielding trans-N-(3-pyridylmethyl)-4-hydroxy-L-proline methyl ester (XX). The treatment of (XX) with methanesulfonyl chloride affords the corresponding mesylate (XXI), which by reaction with LiCl in hot polyethylene glycol gives cis-4-chloro-N-(3-pyridylmethyl)-L-proline methyl ester (XXII). The reaction of (XXII) with sodium azide in DMSO yields the trans-4-azido derivative (XXIII), which is reduced with triphenylphosphine in hot ethyl acetate to the corresponding trans-4-amino compound (XXIV). The treatment of (XXIV) with 4-chlorophenylsulfonyl chloride (VIII) and triethylamine in ethyl acetate affords the sulfonamide (XXV), which is reduced with diisobutylaluminum hydride in toluene/dichloromethane giving (2S,4R)-4-(4-chlorophenylsulfonamido)-1-(3-pyridylmethyl)pyrrolidine-2-carbaldehyde (XXVI). Finally, this compound is submitted to a Wittig condensation with (4-carboxybutyl)triphenylphosphonium chloride (XXVII) and potassium tert-butoxide in THF.

参考文献No.32657
标题:Novel pyrrolidine derivs
作者:Kamijo, T.; Hokari, H.; Hirata, K.; Yanagi, T.; Oda, Y. (Kissei Pharmaceutical Co., Ltd.)
来源:JP 1995291965
合成路线图解说明:

3) The cyclization of the previously described trans-4-(methanesulfonyloxy)-1-(3-pyridylmethyl)-L-prolinemethyl ester (XXI) with NaOH in acetonitrile gives the expected lactone (XXVIII), which by methanolysis with K2CO3 in methanol yields cis-4-hydroxy-1-(3-pyridylmethyl)-L-proline methyl ester (XXIX). The acylation of (XXIX) with 4-nitrophenylsulfonyl chloride (XXX) and triethylamine in dichloromethane affords the corresponding cis-sulfonyloxyproline derivative (XXXI), which is treated with the sodium salt of 4-chlorophenylsulfonamide (XXXII) in DMSO to give trans-4-(4-chlorophenylsulfonamido)-1-(3-pyridylmethyl)-L-proline methyl ester (XXV) already obtained. The reduction of (XXV) with NaBH4 in THF yields the corresponding hydroxymethyl derivative (XXXIII), which is oxidized with SO3/pyridine to the previously described aldehyde (XXVI). 4) The condensation of the previously described cis-4-hydroxyproline derivative (XXIX) with N-(4-chlorophenylsulfonyl)carbamic acid methyl ester (XXXIV) by means of triphenylphosphine and diethyl azodicarboxylate (DEAD) in THF gives (2S,4R)-trans-4-[4-chloro-N-(methoxycarbonyl)phenylsulfonamido]-1-(3-pyridylmethyl)pyrrolidine-2-carboxylic acid methyl ester (XXXV), which is reduced with NaBH4 to the trans-hydroxymethyl derivative (XXXIII), already described.

参考文献No.378255
标题:KDI-792
作者:Graul, A.; Casta馿r, J.
来源:Drugs Fut 1996,21(12),1224
合成路线图解说明:

1) The mesylation of (2S,4R)-1-(tert-butoxycarbonyl)-4-hydroxypyrrolidine-2-carboxylic acid methyl ester (I) with mesyl chloride and triethylamine in dichloromethane gives the corresponding mesylate (II), which is treated with sodium benzoate in DMSO yielding the (2S,4S)-benzoate (III). The hydrolysis of (III) with K2CO3 in methanol affords (2S,4S)-1-(tert-butoxycarbonyl)-4-hydroxypyrrolidine-2-carboxylic acid methyl ester (IV), which is mesylated with mesyl chloride and triethylamine as before giving the mesylate (V). The reaction of (V) with sodium azide in DMSO yields the corresponding (2S,4R)-azide (VI), which is reduced with H2 over Pd/C in methanol affording (2S,4R)-4-amino-1-(tert-butoxycarbonyl)pyrrolidine-2-carboxylic acid methyl ester (VII). The acylation of (VII) with 4-chlorobenzenesulfonyl chloride (VIII) and triethylamine in dichloromethane gives the corresponding amide (IX), which is reduced with diisobutylaluminum hydride (DIBAL) in toluene/THF yielding the aldehyde (X). The Wittig condensation of aldehyde (X) with (4-carboxybutyl)triphenylphosphonium bromide (XI) by means of lithium bis(trimethylsilyl)amide (LBSA) in HMPT affords 6-[1-(tert-butoxycarbonyl)-4(R)-(4-chlorophenylsulfonamido)pyrrolidin-2(S)-yl]-5(Z)-hexenoic acid (XII), which is esterified and deprotected with methanol/HCl to give 6-[4(R)-(4-chlorophenylsulfonamido)pyrrolidin-2(S)-yl]-5(Z)-hexenoic acid methyl ester (XIII). The condensation of (XIII) with 3-(chloromethyl)pyridine (XIV) and triethylamine in refluxing THF yields 6-[4(R)-(4-chlorophenylsulfonamido)-1-(3-pyridylmethyl)pyrrolidin-2(S)-yl]-5(Z)-hexenoic acid methyl ester (XV), which is finally hydrolyzed with NaOH in methanol/water.

合成路线图解说明:

2) The esterification of trans-4-hydroxy-L-proline (XVI) with SOCl2 and methanol gives the methyl ester (XVII), which is condensed with 3-(methanesulfonyloxymethyl)pyridine (XVIII), obtained by treatment of 3-(hydroxymethyl)pyridine (XIX) with methanesulfonyl chloride, by means of triethylamine yielding trans-N-(3-pyridylmethyl)-4-hydroxy-L-proline methyl ester (XX). The treatment of (XX) with methanesulfonyl chloride affords the corresponding mesylate (XXI), which by reaction with LiCl in hot polyethylene glycol gives cis-4-chloro-N-(3-pyridylmethyl)-L-proline methyl ester (XXII). The reaction of (XXII) with sodium azide in DMSO yields the trans-4-azido derivative (XXIII), which is reduced with triphenylphosphine in hot ethyl acetate to the corresponding trans-4-amino compound (XXIV). The treatment of (XXIV) with 4-chlorophenylsulfonyl chloride (VIII) and triethylamine in ethyl acetate affords the sulfonamide (XXV), which is reduced with diisobutylaluminum hydride in toluene/dichloromethane giving (2S,4R)-4-(4-chlorophenylsulfonamido)-1-(3-pyridylmethyl)pyrrolidine-2-carbaldehyde (XXVI). Finally, this compound is submitted to a Wittig condensation with (4-carboxybutyl)triphenylphosphonium chloride (XXVII) and potassium tert-butoxide in THF.

合成路线图解说明:

3) The cyclization of the previously described trans-4-(methanesulfonyloxy)-1-(3-pyridylmethyl)-L-prolinemethyl ester (XXI) with NaOH in acetonitrile gives the expected lactone (XXVIII), which by methanolysis with K2CO3 in methanol yields cis-4-hydroxy-1-(3-pyridylmethyl)-L-proline methyl ester (XXIX). The acylation of (XXIX) with 4-nitrophenylsulfonyl chloride (XXX) and triethylamine in dichloromethane affords the corresponding cis-sulfonyloxyproline derivative (XXXI), which is treated with the sodium salt of 4-chlorophenylsulfonamide (XXXII) in DMSO to give trans-4-(4-chlorophenylsulfonamido)-1-(3-pyridylmethyl)-L-proline methyl ester (XXV) already obtained. The reduction of (XXV) with NaBH4 in THF yields the corresponding hydroxymethyl derivative (XXXIII), which is oxidized with SO3/pyridine to the previously described aldehyde (XXVI). 4) The condensation of the previously described cis-4-hydroxyproline derivative (XXIX) with N-(4-chlorophenylsulfonyl)carbamic acid methyl ester (XXXIV) by means of triphenylphosphine and diethyl azodicarboxylate (DEAD) in THF gives (2S,4R)-trans-4-[4-chloro-N-(methoxycarbonyl)phenylsulfonamido]-1-(3-pyridylmethyl)pyrrolidine-2-carboxylic acid methyl ester (XXXV), which is reduced with NaBH4 to the trans-hydroxymethyl derivative (XXXIII), already described.

Drug Information Express,Drug R&D,Chemical Database,Patent Search.
Copyright © 2006-2026 Drug Future. All rights reserved.Contact Us