【药物名称】TOP-53
化学结构式(Chemical Structure):
参考文献No.18610
标题:4-Desoxy-4-epipodophyllotoxin deriv. or pharmaceutically aceptable salt thereof
作者:Terada, T.; Fujimoto, K.; Nomura, M.; Yamashita, J.; Takeda, S.; Kobunai, T.; Yamaguchi, H.; Wierzba, K. (Taiho Pharmaceutical Co., Ltd.)
来源:EP 0522173; JP 1993503298; WO 9212982
合成路线图解说明:

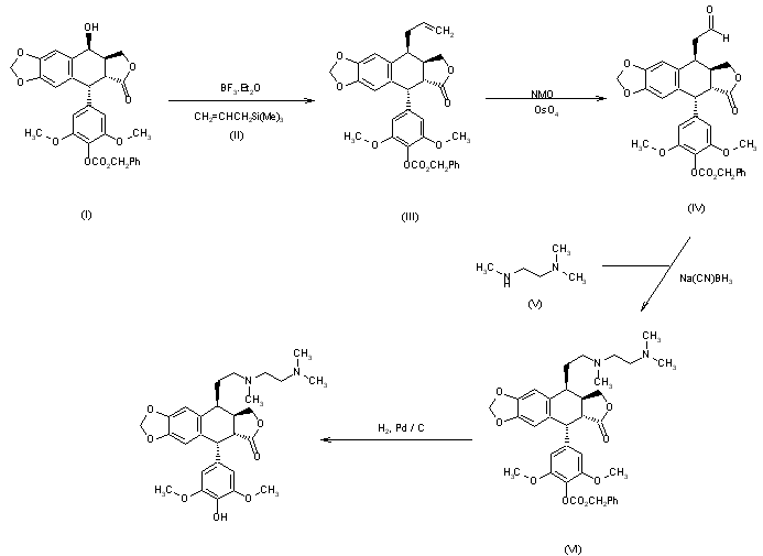
The condensation of 4'-O-(benzyloxycarbonyl)-4'-demethylepipodophyllotoxin (I) with allyltrimethylsilane (II) by means of boron trifluoride ethearate in dichloromethane gives 4beta-allyl-4'-O-(benzyloxycarbonyl)-4'-demethyl-4-desoxypodophyllotoxin (III), which is oxidized with OsO4 and N-methylmorpholine (NMO) in acetone to the substituted acetaldehyde (IV). The reductocondensation of (IV) with N,N,N'-trimethylethylenediamine (V) by means of sodium cyanoborohydride and acetic acid in CHCl3 affords the protected final product (VI), which is finally hydrogenated with H2 over Pd/C in methanol.

参考文献No.222370
标题:Antitumor agents. 3. Synthesis and biological activity of 4beta-alkyl derivatives containing hydroxy, amino, and amido groups of 4'-O-demethyl-4-desoxypodophyllotoxin as antitumor agents
作者:Terada, T.; Fujimoto, K.; Nomura, M.; Yamashita, J.; Wierzba, K.; Yamazaki, R.; Shibata, J.; Sugimoto, Y.; Yamada, Y.; Kobunai, T.; et al.
来源:J Med Chem 1993,36(12),1689-99
合成路线图解说明:

The condensation of 4'-O-(benzyloxycarbonyl)-4'-demethylepipodophyllotoxin (I) with allyltrimethylsilane (II) by means of boron trifluoride ethearate in dichloromethane gives 4beta-allyl-4'-O-(benzyloxycarbonyl)-4'-demethyl-4-desoxypodophyllotoxin (III), which is oxidized with OsO4 and N-methylmorpholine (NMO) in acetone to the substituted acetaldehyde (IV). The reductocondensation of (IV) with N,N,N'-trimethylethylenediamine (V) by means of sodium cyanoborohydride and acetic acid in CHCl3 affords the protected final product (VI), which is finally hydrogenated with H2 over Pd/C in methanol.

参考文献No.382475
标题:TOP-53
作者:Leeson, P.A.; Casta馿r, J.
来源:Drugs Fut 1996,21(11),1136
合成路线图解说明:

The condensation of 4'-O-(benzyloxycarbonyl)-4'-demethylepipodophyllotoxin (I) with allyltrimethylsilane (II) by means of boron trifluoride ethearate in dichloromethane gives 4beta-allyl-4'-O-(benzyloxycarbonyl)-4'-demethyl-4-desoxypodophyllotoxin (III), which is oxidized with OsO4 and N-methylmorpholine (NMO) in acetone to the substituted acetaldehyde (IV). The reductocondensation of (IV) with N,N,N'-trimethylethylenediamine (V) by means of sodium cyanoborohydride and acetic acid in CHCl3 affords the protected final product (VI), which is finally hydrogenated with H2 over Pd/C in methanol.

Drug Information Express,Drug R&D,Chemical Database,Patent Search.
Copyright © 2006-2026 Drug Future. All rights reserved.Contact Us