【药物名称】Arbidol, Arbidol
化学结构式(Chemical Structure):
参考文献No.18905
标题:Ethyl ester 6-bromine-5-hydroxy-4-dimethyl-aminomethyl-1-methyl-2-phenylthiomethyl indole-3-carboxylic acid HCl H20, method of obtaining it and a pharmaceutical preparation of antiviral, interferon-inducing and immunomodulating action based on it
作者:Grinev, A.N.; Pershin, G.N. (All-Russian Chemical-Pharmaceutical Research Institute; Nauchno-Issledovatelsky Institut)
来源:US 5198552; WO 9008135
合成路线图解说明:

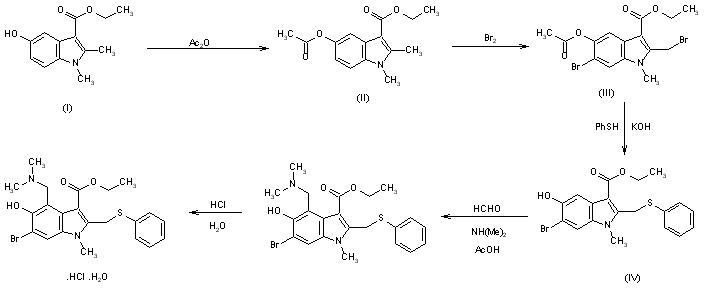
1,2-Dimethyl-5-hydroxyindole-3-acetic acid ethyl ester (I) is acetylated with acetic anhydride affording the O-acyl derivative (II), which is brominated to the corresponding dibromide compound (III). The reaction of (III) with thiophenol in KOH yields (IV), which is then submitted to a conventional Mannich condensation with formaldehyde and dimethylamine in acetic acid, giving the free base of arbidol (V), which is treated with aqueous hydrochloric acid.

参考文献No.193894
标题:Arbidol
作者:Glushkov, R.G.
来源:Drugs Fut 1992,17(12),1079
合成路线图解说明:

1,2-Dimethyl-5-hydroxyindole-3-acetic acid ethyl ester (I) is acetylated with acetic anhydride affording the O-acyl derivative (II), which is brominated to the corresponding dibromide compound (III). The reaction of (III) with thiophenol in KOH yields (IV), which is then submitted to a conventional Mannich condensation with formaldehyde and dimethylamine in acetic acid, giving the free base of arbidol (V), which is treated with aqueous hydrochloric acid.

Drug Information Express,Drug R&D,Chemical Database,Patent Search.
Copyright © 2006-2026 Drug Future. All rights reserved.Contact Us