【药物名称】SS-212
化学结构式(Chemical Structure):
参考文献No.18337
标题:Novel benzo[5,6]cyclohepta[1,2-b]pyridine derivs. and antiallergic agents comprising same
作者:Honda, H.; Mizuno, H.; Mogi, K.; Ito, Y.; Kaneko, Y.; Taido, N.; Sato, S.; Kuraishi, T. (SSP Co., Ltd.)
来源:EP 0495484; JP 1993059040; US 5231101
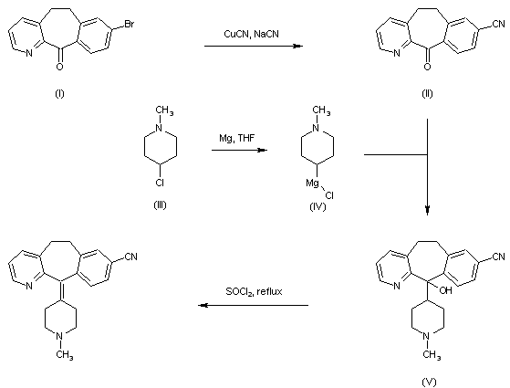
合成路线图解说明:

The known tricyclic bromide (I) was converted to the nitrile (II) by treatment with CuCN and NaCN. Addition of the Grignard reagent (IV), prepared from 4-chloro-1-methylpiperidine (III), to the tricyclic ketone (II) furnished the tertiary alcohol (V). This was finally dehydrated to the target piperidylidene derivative upon heating in the presence of SOCl2.

Drug Information Express,Drug R&D,Chemical Database,Patent Search.
Copyright © 2006-2026 Drug Future. All rights reserved.Contact Us