【药物名称】Telinavir, SC-52151
化学结构式(Chemical Structure):
参考文献No.17973
标题:Retroviral protease inhibitors
作者:Clare, M.; DeCrescenzo, G.A.; Freskos, J.N.; Getman, D.P.; Heintz, R.M.; Lin, K.-C.; Mueller, R.A.; Reed, K.L.; Talley, J.J.; Vazquez, M.L.; Sun, E.T.O. (Pharmacia Corp.)
来源:EP 0558630; WO 9208701
合成路线图解说明:

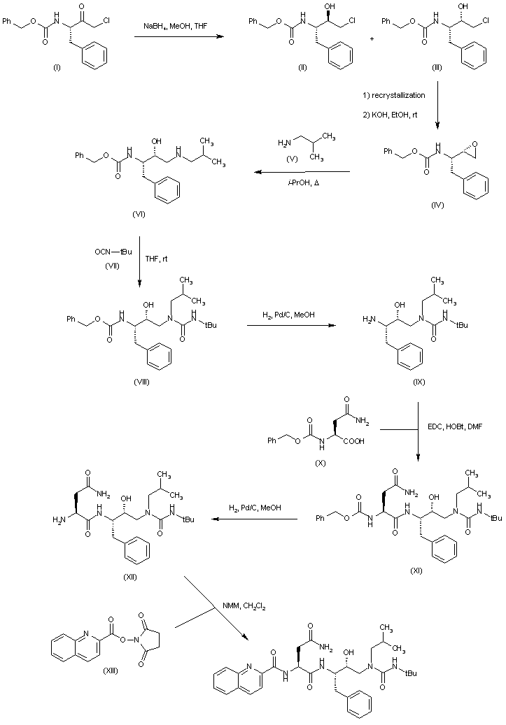
Reduction of N-Cbz-L-phenylalaninyl chloromethyl ketone (I) with NaBH4 provided a 1:3 mixture of diastereoisomeric chlorohydrins (II) and (III), from which the required isomer (III) was isolated by recrystallization from ethyl acetate-hexane. Treatment of (III) with KOH afforded epoxide (IV), which was opened with isobutyl amine (V) in refluxing isopropanol to give amino alcohol (VI). Subsequent coupling of the amino group of (VI) with tert-butyl carbamate (VII) produced urea (VIII). Removal of the carbamate protecting group of (VIII) by hydrogenation over Pd/C and coupling of the free amine (IX) with N-Cbz-L-asparagine (X) yielded amide (XI). Further removal of the Cbz group of (XI) gave rise to amine (XII), which was finally coupled with 2-quinolinecarboxylic acid N-hydroxysuccinimidyl ester (XIII) to furnish the title quinolinecarboxamide.

参考文献No.22504
标题:Urea-containing hydroxyethylamine cpds. as retroviral protease inhibitors
作者:Talley, J.J.; Getman, D.P.; DeCrescenzo, G.A.; Lin, K.-O.; Vazquez, M.L.; Mueller, R.A.; Reed, K.L.; Heintz, R.M.; Clare, M.; Freskos, J.N.; Sun, E.T. (Pharmacia Corp.)
来源:JP 1995508041; WO 9323368
合成路线图解说明:

Reduction of N-Cbz-L-phenylalaninyl chloromethyl ketone (I) with NaBH4 provided a 1:3 mixture of diastereoisomeric chlorohydrins (II) and (III), from which the required isomer (III) was isolated by recrystallization from ethyl acetate-hexane. Treatment of (III) with KOH afforded epoxide (IV), which was opened with isobutyl amine (V) in refluxing isopropanol to give amino alcohol (VI). Subsequent coupling of the amino group of (VI) with tert-butyl carbamate (VII) produced urea (VIII). Removal of the carbamate protecting group of (VIII) by hydrogenation over Pd/C and coupling of the free amine (IX) with N-Cbz-L-asparagine (X) yielded amide (XI). Further removal of the Cbz group of (XI) gave rise to amine (XII), which was finally coupled with 2-quinolinecarboxylic acid N-hydroxysuccinimidyl ester (XIII) to furnish the title quinolinecarboxamide.

合成路线图解说明:

An alternative procedure for the preparation of the intermediate urea (IX) has been reported. Alkylation of L-phenylalanine (XIV) with benzyl bromide provided the N,N-dibenzyl amine (XV), which was reduced to amino alcohol (XVI) using DIBAL in cold toluene. In an improved large-scale process, amino alcohol (XVI) was prepared by benzylation of L-phenylalaninol (XVII). Swern oxidation of the alcohol function of (XVI) afforded aldehyde (XVIII). Subsequent reaction of (XVIII) with chloromethyllithium at low temperature furnished the desired epoxide (XX) along with minor amounts of its diastereoisomer (XIX). Opening of this mixture with isobutyl amine (V) gave diamino alcohol (XXIa-b). After coupling of (XXIa-b) with tert-butyl isocyanate (VII) to produce the corresponding ureas (XXIIa-b) [the required isomer (XXIIb) was isolated by recrystallization]. Removal of the benzyl protecting groups of (XXIIb) then yielded the target intermediate (IX).

参考文献No.200694
标题:Discovery of a novel class of potent HIV-1 protease inhibitors containing the (R)-(hydroxyethyl)urea isostere
作者:Getman, D.P.; DeCrescenzo, G.A.; Heintz, R.M.; Reed, K.L.; Talley, J.J.; Bryant, M.L.; Clare, M.; Houseman, K.A.; Marr, J.J.; Mueller, R.A.; et al.
来源:J Med Chem 1993,36(2),288
合成路线图解说明:

Reduction of N-Cbz-L-phenylalaninyl chloromethyl ketone (I) with NaBH4 provided a 1:3 mixture of diastereoisomeric chlorohydrins (II) and (III), from which the required isomer (III) was isolated by recrystallization from ethyl acetate-hexane. Treatment of (III) with KOH afforded epoxide (IV), which was opened with isobutyl amine (V) in refluxing isopropanol to give amino alcohol (VI). Subsequent coupling of the amino group of (VI) with tert-butyl carbamate (VII) produced urea (VIII). Removal of the carbamate protecting group of (VIII) by hydrogenation over Pd/C and coupling of the free amine (IX) with N-Cbz-L-asparagine (X) yielded amide (XI). Further removal of the Cbz group of (XI) gave rise to amine (XII), which was finally coupled with 2-quinolinecarboxylic acid N-hydroxysuccinimidyl ester (XIII) to furnish the title quinolinecarboxamide.

合成路线图解说明:

An alternative procedure for the preparation of the intermediate urea (IX) has been reported. Alkylation of L-phenylalanine (XIV) with benzyl bromide provided the N,N-dibenzyl amine (XV), which was reduced to amino alcohol (XVI) using DIBAL in cold toluene. In an improved large-scale process, amino alcohol (XVI) was prepared by benzylation of L-phenylalaninol (XVII). Swern oxidation of the alcohol function of (XVI) afforded aldehyde (XVIII). Subsequent reaction of (XVIII) with chloromethyllithium at low temperature furnished the desired epoxide (XX) along with minor amounts of its diastereoisomer (XIX). Opening of this mixture with isobutyl amine (V) gave diamino alcohol (XXIa-b). After coupling of (XXIa-b) with tert-butyl isocyanate (VII) to produce the corresponding ureas (XXIIa-b) [the required isomer (XXIIb) was isolated by recrystallization]. Removal of the benzyl protecting groups of (XXIIb) then yielded the target intermediate (IX).

参考文献No.562885
标题:Development of large-scale process for an HIV protease inhibitor
作者:Liu, C.; et al.
来源:Org Process Res Dev 1997,1(1),45
合成路线图解说明:

An alternative procedure for the preparation of the intermediate urea (IX) has been reported. Alkylation of L-phenylalanine (XIV) with benzyl bromide provided the N,N-dibenzyl amine (XV), which was reduced to amino alcohol (XVI) using DIBAL in cold toluene. In an improved large-scale process, amino alcohol (XVI) was prepared by benzylation of L-phenylalaninol (XVII). Swern oxidation of the alcohol function of (XVI) afforded aldehyde (XVIII). Subsequent reaction of (XVIII) with chloromethyllithium at low temperature furnished the desired epoxide (XX) along with minor amounts of its diastereoisomer (XIX). Opening of this mixture with isobutyl amine (V) gave diamino alcohol (XXIa-b). After coupling of (XXIa-b) with tert-butyl isocyanate (VII) to produce the corresponding ureas (XXIIa-b) [the required isomer (XXIIb) was isolated by recrystallization]. Removal of the benzyl protecting groups of (XXIIb) then yielded the target intermediate (IX).

Drug Information Express,Drug R&D,Chemical Database,Patent Search.
Copyright © 2006-2026 Drug Future. All rights reserved.Contact Us