【药物名称】Elacridar, GW-120918, GF-120918A(HCl), GW-918, GG-918, GF-120918
化学结构式(Chemical Structure):
参考文献No.18191
标题:Acridine derivs.
作者:Duma顃re, B.A.; Dodic, N. (GlaxoSmithKline plc)
来源:EP 0494623; EP 0569380; JP 1994506440; US 5604237; WO 9212132
合成路线图解说明:

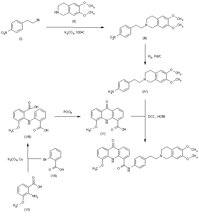
The condensation of 2-(4-nitrophenyl)ethyl bromide (I) with 6,7-dimethoxy-1,2,3,4-tetrahydroisoquinoline (II) by means of K2CO3 and KI in DMF at 100 C gives 6,7-dimethoxy-2-[2-(4-nitrophenyl)ethyl]-1,2,3,4-tetrahydroisoquinoline (III), which is reduced with H2 over Pd/C in ethanol to yield the corresponding amine (IV). Finally, this compound is condensed with 5-methoxy-9-oxo-9,10-dihydroacridine-4-carboxylic acid (V) by means of DCC and HOBt in DMF to afford the target carboxamide. The intermediate 5-methoxy-9-oxo-9,10-dihydroacridine-4-carboxylic acid (V) has been obtained as follows: The condensation of 2-amino-3-methoxybenzoic acid (VI) with 2-bromobenzoic acid (VII) by means of K2CO3 and copper dust give the diphenylamine (VIII), which is cyclized to the target acridine (V) by means of POCl3 in refluxing acetonitrile.

参考文献No.56351
标题:Synthesis of acridine deriv. multidrug-resistant inhibitors
作者:Sharp, M.J.; Mader, C.J.; Strachan, C. (GlaxoSmithKline plc)
来源:WO 9852923
合成路线图解说明:

The condensation of 2-(4-nitrophenyl)ethyl bromide (I) with 6,7-dimethoxy-1,2,3,4-tetrahydroisoquinoline (II) by means of K2CO3 and KI in DMF at 100 C gives 6,7-dimethoxy-2-[2-(4-nitrophenyl)ethyl]-1,2,3,4-tetrahydroisoquinoline (III), which is reduced with H2 over Pd/C in ethanol to yield the corresponding amine (IV). Finally, this compound is condensed with 5-methoxy-9-oxo-9,10-dihydroacridine-4-carboxylic acid (V) by means of DCC and HOBt in DMF to afford the target carboxamide. The intermediate 5-methoxy-9-oxo-9,10-dihydroacridine-4-carboxylic acid (V) has been obtained as follows: The condensation of 2-amino-3-methoxybenzoic acid (VI) with 2-bromobenzoic acid (VII) by means of K2CO3 and copper dust give the diphenylamine (VIII), which is cyclized to the target acridine (V) by means of POCl3 in refluxing acetonitrile.

参考文献No.316059
标题:Synthesis and activity against multidrug resistance in Chinese hamster ovary cells of new acridone-4-carboxamides
作者:Dodic, N.; Dumaitre, B.; Daugan, A.; Pianetti, P.
来源:J Med Chem 1995,38(13),2418
合成路线图解说明:

The condensation of 2-(4-nitrophenyl)ethyl bromide (I) with 6,7-dimethoxy-1,2,3,4-tetrahydroisoquinoline (II) by means of K2CO3 and KI in DMF at 100 C gives 6,7-dimethoxy-2-[2-(4-nitrophenyl)ethyl]-1,2,3,4-tetrahydroisoquinoline (III), which is reduced with H2 over Pd/C in ethanol to yield the corresponding amine (IV). Finally, this compound is condensed with 5-methoxy-9-oxo-9,10-dihydroacridine-4-carboxylic acid (V) by means of DCC and HOBt in DMF to afford the target carboxamide. The intermediate 5-methoxy-9-oxo-9,10-dihydroacridine-4-carboxylic acid (V) has been obtained as follows: The condensation of 2-amino-3-methoxybenzoic acid (VI) with 2-bromobenzoic acid (VII) by means of K2CO3 and copper dust give the diphenylamine (VIII), which is cyclized to the target acridine (V) by means of POCl3 in refluxing acetonitrile.

Drug Information Express,Drug R&D,Chemical Database,Patent Search.
Copyright © 2006-2026 Drug Future. All rights reserved.Contact Us