【药物名称】Quetiapine fumarate, FK-949, ZD-5077, ZM-204636, ICI-204636, Seroquel
化学结构式(Chemical Structure):
参考文献No.7167
标题:Thiazepine cpds
作者:Warawa, E.J.; Migler, B.M. (AstraZeneca LP)
来源:EP 0240228; JP 1988008378; US 4879288
合成路线图解说明:

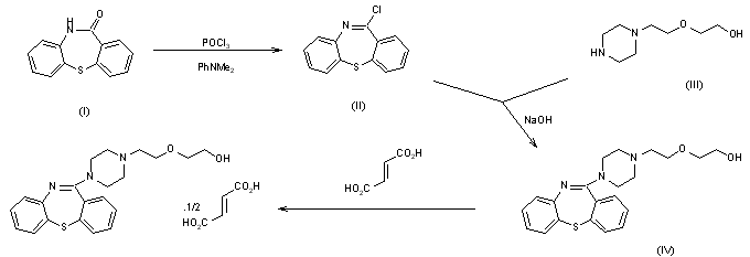
The reaction of dibenzo[b,f][1,4]thiazepin-11(10H)-one (I) with refluxing POCl3 and dimethylaniline gives 11-chlorodibenzo[b,f][1,4]thiazepine (II), which is then condensed with 4-[2-(2-hydroxyethoxy)ethyl]piperazine (III) by means of NaOH in refluxing xylene to afford the free base of the title product (IV). Finally, this compound is treated with fumaric acid in ethanol.

参考文献No.356025
标题:Quetiapine Fumarate
作者:Casey, P.; Robison, K.A.; Casta馿r, J.
来源:Drugs Fut 1996,21(5),483
合成路线图解说明:

The reaction of dibenzo[b,f][1,4]thiazepin-11(10H)-one (I) with refluxing POCl3 and dimethylaniline gives 11-chlorodibenzo[b,f][1,4]thiazepine (II), which is then condensed with 4-[2-(2-hydroxyethoxy)ethyl]piperazine (III) by means of NaOH in refluxing xylene to afford the free base of the title product (IV). Finally, this compound is treated with fumaric acid in ethanol.

参考文献No.605697
标题:Behavioral approach to nondyskinetic dopamine antagonists: Identification of seroquel
作者:Warawa, E.J.; Migler, B.M.; Ohnmacht, C.J.; Needles, A.L.; Gatos, G.C.; McLaren, F.M.; Nelson, C.L.; Kirkland, K.M.
来源:J Med Chem 2001,44(3),372
合成路线图解说明:

The reaction of dibenzo[b,f][1,4]thiazepin-11(10H)-one (I) with refluxing POCl3 and dimethylaniline gives 11-chlorodibenzo[b,f][1,4]thiazepine (II), which is then condensed with 4-[2-(2-hydroxyethoxy)ethyl]piperazine (III) by means of NaOH in refluxing xylene to afford the free base of the title product (IV). Finally, this compound is treated with fumaric acid in ethanol.

Drug Information Express,Drug R&D,Chemical Database,Patent Search.
Copyright © 2006-2026 Drug Future. All rights reserved.Contact Us