【药物名称】Sinitrodil, ITF-296
化学结构式(Chemical Structure):
参考文献No.192514
标题:Synthesis and cardiovascular activity of 3-nitrooxyalkyl-2,3-dihydro-4H-1,3-benzoxazin-4-ones, a novel class of nitrate esters
作者:Levi, S.; Benedini, F.; Bertolini, G.; et al.
来源:12th Int Symp Med Chem (Sept 13-17, Basel) 1992,Abst P152C
合成路线图解说明:

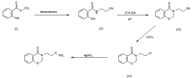
Sinitrodil (ITF-296) is obtained in four main steps. The reaction of methyl 2-hydroxybenzoate (I) with ethanolamine gives 2-hydroxy-N-(2-hydroxyethyl)benzamide (II), which is converted to 3-(2-hydroxyethyl)-2H-1,3-benzoxazin-4(3H)-one (III) by cyclization with paraformaldehyde under acidic conditions. Treatment of compound (III) with thionyl chloride gives the chloro derivative (IV), which is converted to ITF-296 by reaction with silver nitrate in refluxing acetonitrile.

参考文献No.290813
标题:New antianginal nitro-esters with reduced hypotensive activity. Synthesis and pharmacological evaluation of 3-nitrooxyalkyl-2H-1,3-benzoxazin-4(3H)-4-ones
作者:Benedini, F.; Bertolini, G.; Cereda, R.; Dona, G.; Gromo, G.; Levi, S.; Mizrahi, J.; Sala, A.
来源:J Med Chem 1995,38(1),130-6
合成路线图解说明:

Sinitrodil (ITF-296) is obtained in four main steps. The reaction of methyl 2-hydroxybenzoate (I) with ethanolamine gives 2-hydroxy-N-(2-hydroxyethyl)benzamide (II), which is converted to 3-(2-hydroxyethyl)-2H-1,3-benzoxazin-4(3H)-one (III) by cyclization with paraformaldehyde under acidic conditions. Treatment of compound (III) with thionyl chloride gives the chloro derivative (IV), which is converted to ITF-296 by reaction with silver nitrate in refluxing acetonitrile.

参考文献No.396882
标题:Sinitrodil
作者:Cereda, R.; Bertolini, G.; Gromo, G.; Mizrahi, J.; Monzani, M.V.; Sala, A.; Sardina, M.; Bergamaschi, M.
来源:Drugs Fut 1997,22(3),242
合成路线图解说明:

Sinitrodil (ITF-296) is obtained in four main steps. The reaction of methyl 2-hydroxybenzoate (I) with ethanolamine gives 2-hydroxy-N-(2-hydroxyethyl)benzamide (II), which is converted to 3-(2-hydroxyethyl)-2H-1,3-benzoxazin-4(3H)-one (III) by cyclization with paraformaldehyde under acidic conditions. Treatment of compound (III) with thionyl chloride gives the chloro derivative (IV), which is converted to ITF-296 by reaction with silver nitrate in refluxing acetonitrile.

Drug Information Express,Drug R&D,Chemical Database,Patent Search.
Copyright © 2006-2026 Drug Future. All rights reserved.Contact Us