【药物名称】NLA-1
化学结构式(Chemical Structure):
参考文献No.45910
标题:Bis(nitro-1-imidazolyl alkylamine) platinum complexes useful in radiotheraphy or chemotherapy
作者:Adams, G.E.; Ahmed, I.; Stratford, I.J. (Gerald Edward Adams; Ian James Stratford; Israr Ahmed)
来源:GB 2131020
合成路线图解说明:

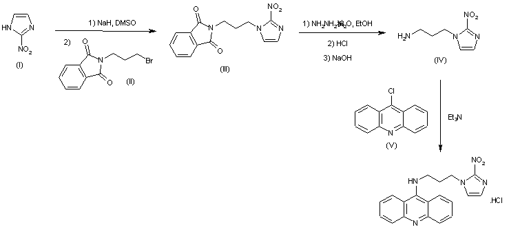
The condensation of 2-nitroimidazole (I) with N-(3-bromopropyl)phthalimide (II) by means of NaH in DMSO gives N-[3-(2-nitroimidazol-1-yl)propyl]phthalimide (III), which is treated with hydrazine in ethanol/water to yield 3-(2-nitroimidazol-1-yl)propylamine (IV). Finally this amine is condensed with 9-chloroacridine by means of TEA.

合成路线图解说明:

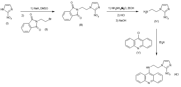
The condensation of 2-nitroimidazole (I) with N-(2-bromoethyl)phthalimide (II) by means of NaH in DMSO gives N-[2-(2-nitroimidazol-1-yl)ethyl]phthalimide (III), which is treated with hydrazine in ethanol/water to yield 2-(2-nitroimidazol-1-yl)ethylamine (IV). Finally this amine is condensed with 9-chloroacridine by means of TEA.

参考文献No.803832
标题:Studies on antiprotozoans. Synthesis and biological activity of some styrylimidazole derivatives
作者:DeCarneri, I.; Giraldi, P.N.; Mariotti, V.
来源:J Med Chem 1968,1160-70
合成路线图解说明:

The condensation of 2-nitroimidazole (I) with N-(3-bromopropyl)phthalimide (II) by means of NaH in DMSO gives N-[3-(2-nitroimidazol-1-yl)propyl]phthalimide (III), which is treated with hydrazine in ethanol/water to yield 3-(2-nitroimidazol-1-yl)propylamine (IV). Finally this amine is condensed with 9-chloroacridine by means of TEA.

合成路线图解说明:

The condensation of 2-nitroimidazole (I) with N-(2-bromoethyl)phthalimide (II) by means of NaH in DMSO gives N-[2-(2-nitroimidazol-1-yl)ethyl]phthalimide (III), which is treated with hydrazine in ethanol/water to yield 2-(2-nitroimidazol-1-yl)ethylamine (IV). Finally this amine is condensed with 9-chloroacridine by means of TEA.

参考文献No.803833
标题:Nitroheterocyclic-linked acridines as DNA-targeting bioreductive agents
作者:Bloomer, W.D.; Papadopoulou, M.V.
来源:Drugs Fut 1993,18(3),231
合成路线图解说明:

The condensation of 2-nitroimidazole (I) with N-(3-bromopropyl)phthalimide (II) by means of NaH in DMSO gives N-[3-(2-nitroimidazol-1-yl)propyl]phthalimide (III), which is treated with hydrazine in ethanol/water to yield 3-(2-nitroimidazol-1-yl)propylamine (IV). Finally this amine is condensed with 9-chloroacridine by means of TEA.

合成路线图解说明:

The condensation of 2-nitroimidazole (I) with N-(2-bromoethyl)phthalimide (II) by means of NaH in DMSO gives N-[2-(2-nitroimidazol-1-yl)ethyl]phthalimide (III), which is treated with hydrazine in ethanol/water to yield 2-(2-nitroimidazol-1-yl)ethylamine (IV). Finally this amine is condensed with 9-chloroacridine by means of TEA.

Drug Information Express,Drug R&D,Chemical Database,Patent Search.
Copyright © 2006-2026 Drug Future. All rights reserved.Contact Us