【药物名称】Befloxatone, MD-370503
化学结构式(Chemical Structure):
参考文献No.14680
标题:3-Aryl oxazolidinones, process for their preparation and their therapeutical use
作者:Koenig, J.-J.; Schoofs, A.; Jarreau, F.-X.; Rovei, V. (Laboratoires Delalande)
来源:EP 0424243; EP 0424244; EP 0428421; JP 1992502333; JP 1992502334; JP 1992502335; US 5036090; US 5036091; US 5171747; US 5196543; WO 9105775
合成路线图解说明:

Befloxatone is obtained by condensation of 1,1,1-trifluoro-4-(tosyloxy)-2(R)-butanol (I) with 3-(4-hydroxyphenyl)-5(R)-(methoxymethyl)oxazolidin-2-one (II) by means of K2CO3 in hot DMF.

合成路线图解说明:

1) Synthesis of Butanol (I): 1a) The reduction of 4,4,4-trifluoro-2-oxobutyric acid ethyl ester (III) with NaBH4 in dichloromethane gives 4,4,4-trifluoro-2-hydroxybutyric acid ethyl ester (IV), which is hydrolyzed with NaOH in ethanol, yielding the corresponding acid (V). The optical resolution of (V) with 1(S)-phenylethylamine in hot ethanol affords the 3(R)-hydroxy enantiomer (VI) (1,3), which is reduced with NaBH4 and BF3 ethearate in THF to provide 4,4,4-trifluorobutane-1,3(R)-diol (VII). Finally, this compound is monotosylated by means of tosyl chloride and DMAP in pyridine to afford intermediate (I). 1b) The digestion of 4,4,4-trifluoro-3-hydroxybutyric acid ethyl ester (IV) with Novozym in a phosphate buffer gives the corresponding (R)-enantiomer (VIII), which is reduced with NaBH4 in ethanol, yielding 4,4,4-trifluorobutane-1,3(R)-diol (VII) (4). Finally, this compound is monotosylated by means of tosyl chloride as before to give butanol (I).

合成路线图解说明:

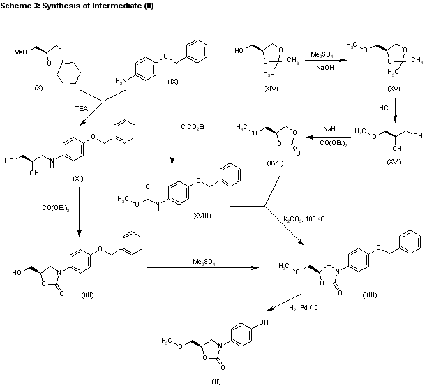
2) Synthesis of Oxazolidinone (II): 2a) The reaction of 4-benzyloxyaniline (IX) with 1,4-dioxaspiro[4.5]decan-2(S)-ylmethyl methanesulfonate (X) by means of TEA at 140 C gives 3-(4-benzyloxyphenylamino)propane-1,2(R)-diol (XI), which is cyclized with diethyl carbonate and sodium methoxide in refluxing toluene, yielding 3-(4-benzyloxyphenyl)-5(R)-(hydroxymethyl)oxazolidin-2-one (XII). The methylation of (XII) with dimethyl sulfate, NaOH and tetrabutylammonium bisulfate in hot toluene/water affords the corresponding methoxymethyl derivative (XIII). Finally, this compound is debenzylated by hydrogenation with H2 over Pd/C in ethanol/dichloromethane to give oxazolidinone (II). 2b) The methylation of 4(S)-(hydroxymethyl)-2,2-dimethyl-1,3-dioxolane (XIV) with dimethyl sulfate and NaOH gives 4(S)-(methoxymethyl)-2,2-dimethyl-1,3-dioxolane (XV), which is hydrolyzed with hot aqueous HCl to 3-methoxypropane-1,2(R)-diol (XVI). The cyclization of (XVI) with diethyl carbonate by means of NaH affords 4(S)-(methoxymethyl)-1,3-dioxolan-2-one (XVII) (2, 5). The condensation of (XVII) with N-(4-benzyloxyphenyl)carbamic acid methyl ester (XVIII) (obtained by reaction of 4-benzyloxyaniline (IX) with methyl chloroformate) by means of K2CO3 at 160 C provides the protected oxazolidinone (XIII), which is finally debenzylated as before to give oxazolidinone (II).

参考文献No.19219
标题:3-Aryl-oxazolidinone derivs., process for their preparation and their use in therapeutics
作者:Jarreau, F.-X.; Koenig, J.-J.; Rovei, V. (Laboratoires Delalande)
来源:EP 0511031; FR 2675504; JP 1993112542; US 5264443
合成路线图解说明:

Befloxatone is obtained by condensation of 1,1,1-trifluoro-4-(tosyloxy)-2(R)-butanol (I) with 3-(4-hydroxyphenyl)-5(R)-(methoxymethyl)oxazolidin-2-one (II) by means of K2CO3 in hot DMF.

合成路线图解说明:

1) Synthesis of Butanol (I): 1a) The reduction of 4,4,4-trifluoro-2-oxobutyric acid ethyl ester (III) with NaBH4 in dichloromethane gives 4,4,4-trifluoro-2-hydroxybutyric acid ethyl ester (IV), which is hydrolyzed with NaOH in ethanol, yielding the corresponding acid (V). The optical resolution of (V) with 1(S)-phenylethylamine in hot ethanol affords the 3(R)-hydroxy enantiomer (VI) (1,3), which is reduced with NaBH4 and BF3 ethearate in THF to provide 4,4,4-trifluorobutane-1,3(R)-diol (VII). Finally, this compound is monotosylated by means of tosyl chloride and DMAP in pyridine to afford intermediate (I). 1b) The digestion of 4,4,4-trifluoro-3-hydroxybutyric acid ethyl ester (IV) with Novozym in a phosphate buffer gives the corresponding (R)-enantiomer (VIII), which is reduced with NaBH4 in ethanol, yielding 4,4,4-trifluorobutane-1,3(R)-diol (VII) (4). Finally, this compound is monotosylated by means of tosyl chloride as before to give butanol (I).

合成路线图解说明:

2) Synthesis of Oxazolidinone (II): 2a) The reaction of 4-benzyloxyaniline (IX) with 1,4-dioxaspiro[4.5]decan-2(S)-ylmethyl methanesulfonate (X) by means of TEA at 140 C gives 3-(4-benzyloxyphenylamino)propane-1,2(R)-diol (XI), which is cyclized with diethyl carbonate and sodium methoxide in refluxing toluene, yielding 3-(4-benzyloxyphenyl)-5(R)-(hydroxymethyl)oxazolidin-2-one (XII). The methylation of (XII) with dimethyl sulfate, NaOH and tetrabutylammonium bisulfate in hot toluene/water affords the corresponding methoxymethyl derivative (XIII). Finally, this compound is debenzylated by hydrogenation with H2 over Pd/C in ethanol/dichloromethane to give oxazolidinone (II). 2b) The methylation of 4(S)-(hydroxymethyl)-2,2-dimethyl-1,3-dioxolane (XIV) with dimethyl sulfate and NaOH gives 4(S)-(methoxymethyl)-2,2-dimethyl-1,3-dioxolane (XV), which is hydrolyzed with hot aqueous HCl to 3-methoxypropane-1,2(R)-diol (XVI). The cyclization of (XVI) with diethyl carbonate by means of NaH affords 4(S)-(methoxymethyl)-1,3-dioxolan-2-one (XVII) (2, 5). The condensation of (XVII) with N-(4-benzyloxyphenyl)carbamic acid methyl ester (XVIII) (obtained by reaction of 4-benzyloxyaniline (IX) with methyl chloroformate) by means of K2CO3 at 160 C provides the protected oxazolidinone (XIII), which is finally debenzylated as before to give oxazolidinone (II).

参考文献No.549515
标题:Befloxatone
作者:Casta馿r, J.; Sorbera, L.A.; Rabasseda, X.
来源:Drugs Fut 1999,24(10),1057
合成路线图解说明:

Befloxatone is obtained by condensation of 1,1,1-trifluoro-4-(tosyloxy)-2(R)-butanol (I) with 3-(4-hydroxyphenyl)-5(R)-(methoxymethyl)oxazolidin-2-one (II) by means of K2CO3 in hot DMF.

合成路线图解说明:

1) Synthesis of Butanol (I): 1a) The reduction of 4,4,4-trifluoro-2-oxobutyric acid ethyl ester (III) with NaBH4 in dichloromethane gives 4,4,4-trifluoro-2-hydroxybutyric acid ethyl ester (IV), which is hydrolyzed with NaOH in ethanol, yielding the corresponding acid (V). The optical resolution of (V) with 1(S)-phenylethylamine in hot ethanol affords the 3(R)-hydroxy enantiomer (VI) (1,3), which is reduced with NaBH4 and BF3 ethearate in THF to provide 4,4,4-trifluorobutane-1,3(R)-diol (VII). Finally, this compound is monotosylated by means of tosyl chloride and DMAP in pyridine to afford intermediate (I). 1b) The digestion of 4,4,4-trifluoro-3-hydroxybutyric acid ethyl ester (IV) with Novozym in a phosphate buffer gives the corresponding (R)-enantiomer (VIII), which is reduced with NaBH4 in ethanol, yielding 4,4,4-trifluorobutane-1,3(R)-diol (VII) (4). Finally, this compound is monotosylated by means of tosyl chloride as before to give butanol (I).

合成路线图解说明:

2) Synthesis of Oxazolidinone (II): 2a) The reaction of 4-benzyloxyaniline (IX) with 1,4-dioxaspiro[4.5]decan-2(S)-ylmethyl methanesulfonate (X) by means of TEA at 140 C gives 3-(4-benzyloxyphenylamino)propane-1,2(R)-diol (XI), which is cyclized with diethyl carbonate and sodium methoxide in refluxing toluene, yielding 3-(4-benzyloxyphenyl)-5(R)-(hydroxymethyl)oxazolidin-2-one (XII). The methylation of (XII) with dimethyl sulfate, NaOH and tetrabutylammonium bisulfate in hot toluene/water affords the corresponding methoxymethyl derivative (XIII). Finally, this compound is debenzylated by hydrogenation with H2 over Pd/C in ethanol/dichloromethane to give oxazolidinone (II). 2b) The methylation of 4(S)-(hydroxymethyl)-2,2-dimethyl-1,3-dioxolane (XIV) with dimethyl sulfate and NaOH gives 4(S)-(methoxymethyl)-2,2-dimethyl-1,3-dioxolane (XV), which is hydrolyzed with hot aqueous HCl to 3-methoxypropane-1,2(R)-diol (XVI). The cyclization of (XVI) with diethyl carbonate by means of NaH affords 4(S)-(methoxymethyl)-1,3-dioxolan-2-one (XVII) (2, 5). The condensation of (XVII) with N-(4-benzyloxyphenyl)carbamic acid methyl ester (XVIII) (obtained by reaction of 4-benzyloxyaniline (IX) with methyl chloroformate) by means of K2CO3 at 160 C provides the protected oxazolidinone (XIII), which is finally debenzylated as before to give oxazolidinone (II).

Drug Information Express,Drug R&D,Chemical Database,Patent Search.
Copyright © 2006-2026 Drug Future. All rights reserved.Contact Us