【药物名称】Tetomilast, OPC-6535
化学结构式(Chemical Structure):
参考文献No.36704
标题:Cytokine production inhibitors and adhesion inhibitors
作者:Chihiro, M.; Matsuzaki, T.; Nagamoto, T.; Toda, G.; Sueyoshi, S.; Mori, T.; Kitano, K.; Takemura, I.; Yamashita, H.; Kurimura, M.; Tabusa, F. (Otsuka Pharmaceutical Co., Ltd.)
来源:JP 1998152437; US 2002013469; US 6583163; WO 9814191
合成路线图解说明:

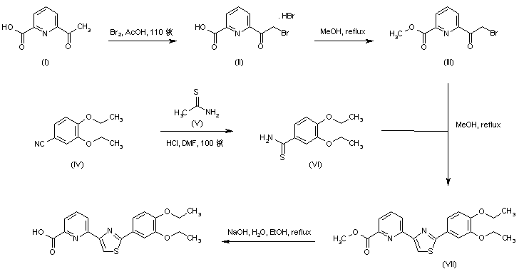
Bromination of 6-acetylpyridine-2-carboxylic acid (I) in hot AcOH generated the alpha-bromoketone (II), which was subsequently esterified to (III) upon refluxing in MeOH. Thioamide (VI) was prepared by treatment of 3,4-diethoxybenzonitrile (IV) with thioacetamide (V) in the presence of HCl. The thiazole derivative (VII) was then obtained by condensation of bromoketone (III) with thioamide (VI) in refluxing MeOH. Finally, basic hydrolysis of the methyl ester function of (VII) provided the title carboxylic acid

参考文献No.302368
标题:Novel thiazole derivatives as inhibitors of superoxide production by human neutrophils: Synthesis and structure-activity relationships
作者:Chihiro, M.; Nagamoto, H.; Takemura, I.; Kitano, K.; Komatsu, H.; Sekiguchi, K.; Tabusa, F.; Mori, T.; Tominaga, M.; Yabuuchi, Y.
来源:J Med Chem 1995,38(2),353
合成路线图解说明:

Bromination of 6-acetylpyridine-2-carboxylic acid (I) in hot AcOH generated the alpha-bromoketone (II), which was subsequently esterified to (III) upon refluxing in MeOH. Thioamide (VI) was prepared by treatment of 3,4-diethoxybenzonitrile (IV) with thioacetamide (V) in the presence of HCl. The thiazole derivative (VII) was then obtained by condensation of bromoketone (III) with thioamide (VI) in refluxing MeOH. Finally, basic hydrolysis of the methyl ester function of (VII) provided the title carboxylic acid

Drug Information Express,Drug R&D,Chemical Database,Patent Search.
Copyright © 2006-2026 Drug Future. All rights reserved.Contact Us