【药物名称】Febuxostat, TMX-67, TEI-6720
化学结构式(Chemical Structure):
参考文献No.17992
标题:2-Arylthiazole deriv. and pharmaceutical compsn. containing the same
作者:Kondo, S.; Fukushima, H.; Hasegawa, M.; Tsuchimoto, M.; Nagata, I.; Osada, Y.; Komoriya, K.; Yamaguchi, H. (Teijin Ltd.)
来源:EP 0513379; JP 1993500083; US 5614520; WO 9209279
合成路线图解说明:

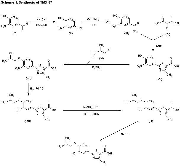
Reaction of 4-hydroxy-3-nitrobenzaldehyde (I) with hydroxylamine and sodium formate in refluxing formic acid gives 4-hydroxy-3-nitrobenzonitrile (II), which is treated with thioacetamide in hot DMF to yield the corresponding thiobenzamide (III). The cyclization of (III) with 2-chloroacetoacetic acid ethyl ester (IV) in refluxing ethanol affords 2-(4-hydroxy-3-nitrophenyl)-5-methylthiazole-4-carboxylic acid ethyl ester (V), which is alkylated at the phenolic group by means of isobutyl bromide (VI) and K2CO3 in hot DMF, providing the isobutyl ether (VII). The reduction of the NO2 group of (VII) with H2 over Pd/C in ethanol/ethyl acetate gives the expected amino derivative (VIII), which is converted into 2-(3-cyano-4-isobutoxyphenyl)-4-methylthiazole-5-carboxylic acid ethyl ester (IX) by diazotation with NaNO2/HCl and treatment with CuCN and KCN. Finally, this compound is hydrolyzed with NaOH in hot THF.

参考文献No.46141
标题:Cyano cpds. and their preparation method
作者:Hasegawa, M.; Komoriya, K. (Teijin Ltd.)
来源:JP 1994345724
合成路线图解说明:

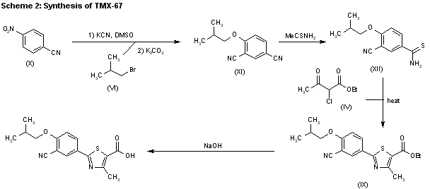
The reaction of 4-nitrobenzonitrile (X) with KCN in hot DMSO, followed by treatment with isobutyl bromide (VI) and K2CO3, gives 4-isobutoxybenzene-1,3-dicarbonitrile (XI), which is treated with thioacetamide in hot DMF to yield 3-cyano-4-isobutoxythiobenzamide (XII). Cyclization of (XII) with 2-chloroacetoacetic acid ethyl ester (IV) in refluxing ethanol affords 2-(3-cyano-4-isoutoxyphenyl)-4-methylthiazole-5-carboxylic acid ethyl ester (IX), which is hydrolyzed with NaOH in hot THF/water.

参考文献No.46142
标题:Preparation method of 2-(4-alkoxy-3-cyanophenyl)thiazole derivs.
作者:Watanabe, K.; Yarino, T.; Hiramatsu, T. (Teijin Ltd.)
来源:JP 1998045733
合成路线图解说明:

Cyclization of 4-hydroxythiobenzamide (XIII) with 2-bromoacetoacetic acid ethyl ester (XIV) in refluxing ethanol provides 2-(4-hydroxyphenyl)-4-methylthiazole-5-carboxylic acid ethyl ester (XV), which is formylated by reaction with hexamethylenetetramine (HMTA) and polyphosphoric acid (PPA) in hot HOAc/water to afford 2-(3-formyl-4-hydroxyphenyl)-4-methylthiazole-5-carboxylic acid ethyl ester (XVI). Alkylation af (XVI) with isobutyl bromide (VI), K2CO3 and KI in DMF gives 2-(3-formyl-4-isobutoxyphenyl)-4-methylthiazole-5-carboxylic acid ethyl ester (XVII), which is treated with formic acid, sodium formate and hydroxylamine hydrochloride to give the already reported 2-(3-cyano-4-isobutoxyphenyl)-4-methylthiazole-5-catboxylic acid ethyl ester (IX). Finally, this compound is hydrolyzed with NaOH in THF/EtOH. Alternatively, 2-(3-formyl-4-hydroxyphenyl)-4-methylthiazole-5-carboxylic acid ethyl ester (XVI) can also be treated first with formic acid, sodium formate and hydroxylamine hydrochloride to provide 2-(3-cyano-4-hydroxyphenyl)-4-methylthiazole-5-carboxylic acid ethyl ester (XVIII), which is then alkylated with isobutyl bromide (VI), K2CO3 and KI in DMF to give the already reported 2-(3-cyano-4-isobutoxyphenyl)-4-methylthiazole-5-carboxylic acid ethyl ester (IX).

参考文献No.47567
标题:Thiazolylphenyl phosphates
作者:Miller, B. (American Cyanamid Co.)
来源:US 3518279
合成路线图解说明:

Cyclization of 4-hydroxythiobenzamide (XIII) with 2-bromoacetoacetic acid ethyl ester (XIV) in refluxing ethanol provides 2-(4-hydroxyphenyl)-4-methylthiazole-5-carboxylic acid ethyl ester (XV), which is formylated by reaction with hexamethylenetetramine (HMTA) and polyphosphoric acid (PPA) in hot HOAc/water to afford 2-(3-formyl-4-hydroxyphenyl)-4-methylthiazole-5-carboxylic acid ethyl ester (XVI). Alkylation af (XVI) with isobutyl bromide (VI), K2CO3 and KI in DMF gives 2-(3-formyl-4-isobutoxyphenyl)-4-methylthiazole-5-carboxylic acid ethyl ester (XVII), which is treated with formic acid, sodium formate and hydroxylamine hydrochloride to give the already reported 2-(3-cyano-4-isobutoxyphenyl)-4-methylthiazole-5-catboxylic acid ethyl ester (IX). Finally, this compound is hydrolyzed with NaOH in THF/EtOH. Alternatively, 2-(3-formyl-4-hydroxyphenyl)-4-methylthiazole-5-carboxylic acid ethyl ester (XVI) can also be treated first with formic acid, sodium formate and hydroxylamine hydrochloride to provide 2-(3-cyano-4-hydroxyphenyl)-4-methylthiazole-5-carboxylic acid ethyl ester (XVIII), which is then alkylated with isobutyl bromide (VI), K2CO3 and KI in DMF to give the already reported 2-(3-cyano-4-isobutoxyphenyl)-4-methylthiazole-5-carboxylic acid ethyl ester (IX).

参考文献No.47568
标题:Preparation method of 2-(4-alkoxy-3-cyanophenyl)thiazol derivs., and novel intermediates for the synthesis of them
作者:Watanabe, K.; Fujii, T.; Tanaka, T.; Kondo, S. (Teijin Ltd.)
来源:JP 1994329647
合成路线图解说明:

Cyclization of 4-hydroxythiobenzamide (XIII) with 2-bromoacetoacetic acid ethyl ester (XIV) in refluxing ethanol provides 2-(4-hydroxyphenyl)-4-methylthiazole-5-carboxylic acid ethyl ester (XV), which is formylated by reaction with hexamethylenetetramine (HMTA) and polyphosphoric acid (PPA) in hot HOAc/water to afford 2-(3-formyl-4-hydroxyphenyl)-4-methylthiazole-5-carboxylic acid ethyl ester (XVI). Alkylation af (XVI) with isobutyl bromide (VI), K2CO3 and KI in DMF gives 2-(3-formyl-4-isobutoxyphenyl)-4-methylthiazole-5-carboxylic acid ethyl ester (XVII), which is treated with formic acid, sodium formate and hydroxylamine hydrochloride to give the already reported 2-(3-cyano-4-isobutoxyphenyl)-4-methylthiazole-5-catboxylic acid ethyl ester (IX). Finally, this compound is hydrolyzed with NaOH in THF/EtOH. Alternatively, 2-(3-formyl-4-hydroxyphenyl)-4-methylthiazole-5-carboxylic acid ethyl ester (XVI) can also be treated first with formic acid, sodium formate and hydroxylamine hydrochloride to provide 2-(3-cyano-4-hydroxyphenyl)-4-methylthiazole-5-carboxylic acid ethyl ester (XVIII), which is then alkylated with isobutyl bromide (VI), K2CO3 and KI in DMF to give the already reported 2-(3-cyano-4-isobutoxyphenyl)-4-methylthiazole-5-carboxylic acid ethyl ester (IX).

参考文献No.607802
标题:TMX-67
作者:Sorbera, L.A.; Casta馿r, J.; Rabasseda, X.; Revel, L.
来源:Drugs Fut 2001,26(1),32
合成路线图解说明:

Reaction of 4-hydroxy-3-nitrobenzaldehyde (I) with hydroxylamine and sodium formate in refluxing formic acid gives 4-hydroxy-3-nitrobenzonitrile (II), which is treated with thioacetamide in hot DMF to yield the corresponding thiobenzamide (III). The cyclization of (III) with 2-chloroacetoacetic acid ethyl ester (IV) in refluxing ethanol affords 2-(4-hydroxy-3-nitrophenyl)-5-methylthiazole-4-carboxylic acid ethyl ester (V), which is alkylated at the phenolic group by means of isobutyl bromide (VI) and K2CO3 in hot DMF, providing the isobutyl ether (VII). The reduction of the NO2 group of (VII) with H2 over Pd/C in ethanol/ethyl acetate gives the expected amino derivative (VIII), which is converted into 2-(3-cyano-4-isobutoxyphenyl)-4-methylthiazole-5-carboxylic acid ethyl ester (IX) by diazotation with NaNO2/HCl and treatment with CuCN and KCN. Finally, this compound is hydrolyzed with NaOH in hot THF.

合成路线图解说明:

The reaction of 4-nitrobenzonitrile (X) with KCN in hot DMSO, followed by treatment with isobutyl bromide (VI) and K2CO3, gives 4-isobutoxybenzene-1,3-dicarbonitrile (XI), which is treated with thioacetamide in hot DMF to yield 3-cyano-4-isobutoxythiobenzamide (XII). Cyclization of (XII) with 2-chloroacetoacetic acid ethyl ester (IV) in refluxing ethanol affords 2-(3-cyano-4-isoutoxyphenyl)-4-methylthiazole-5-carboxylic acid ethyl ester (IX), which is hydrolyzed with NaOH in hot THF/water.

合成路线图解说明:

Cyclization of 4-hydroxythiobenzamide (XIII) with 2-bromoacetoacetic acid ethyl ester (XIV) in refluxing ethanol provides 2-(4-hydroxyphenyl)-4-methylthiazole-5-carboxylic acid ethyl ester (XV), which is formylated by reaction with hexamethylenetetramine (HMTA) and polyphosphoric acid (PPA) in hot HOAc/water to afford 2-(3-formyl-4-hydroxyphenyl)-4-methylthiazole-5-carboxylic acid ethyl ester (XVI). Alkylation af (XVI) with isobutyl bromide (VI), K2CO3 and KI in DMF gives 2-(3-formyl-4-isobutoxyphenyl)-4-methylthiazole-5-carboxylic acid ethyl ester (XVII), which is treated with formic acid, sodium formate and hydroxylamine hydrochloride to give the already reported 2-(3-cyano-4-isobutoxyphenyl)-4-methylthiazole-5-catboxylic acid ethyl ester (IX). Finally, this compound is hydrolyzed with NaOH in THF/EtOH. Alternatively, 2-(3-formyl-4-hydroxyphenyl)-4-methylthiazole-5-carboxylic acid ethyl ester (XVI) can also be treated first with formic acid, sodium formate and hydroxylamine hydrochloride to provide 2-(3-cyano-4-hydroxyphenyl)-4-methylthiazole-5-carboxylic acid ethyl ester (XVIII), which is then alkylated with isobutyl bromide (VI), K2CO3 and KI in DMF to give the already reported 2-(3-cyano-4-isobutoxyphenyl)-4-methylthiazole-5-carboxylic acid ethyl ester (IX).

参考文献No.607808
标题:A facile one-pot synthesis of 4-alkoxy-1,3-benzenedicarbonitrile
作者:Hasegawa, M.
来源:Heterocycles 1998,47(2),857
合成路线图解说明:

The reaction of 4-nitrobenzonitrile (X) with KCN in hot DMSO, followed by treatment with isobutyl bromide (VI) and K2CO3, gives 4-isobutoxybenzene-1,3-dicarbonitrile (XI), which is treated with thioacetamide in hot DMF to yield 3-cyano-4-isobutoxythiobenzamide (XII). Cyclization of (XII) with 2-chloroacetoacetic acid ethyl ester (IV) in refluxing ethanol affords 2-(3-cyano-4-isoutoxyphenyl)-4-methylthiazole-5-carboxylic acid ethyl ester (IX), which is hydrolyzed with NaOH in hot THF/water.

Drug Information Express,Drug R&D,Chemical Database,Patent Search.
Copyright © 2006-2026 Drug Future. All rights reserved.Contact Us