【药物名称】Dexrazoxane hydrochloride, ADR-529(free base), NSC-169780(free base), ICRF-187, TopoTect, Zinecard, Cardioxane
化学结构式(Chemical Structure):
参考文献No.57796
标题:Process for preparing (S)(+)-4,4'-(1-methyl-1,2-ethanediyl)-bis(2,6-piperazinedione)
作者:Miller, W.D.
来源:EP 0284594
合成路线图解说明:

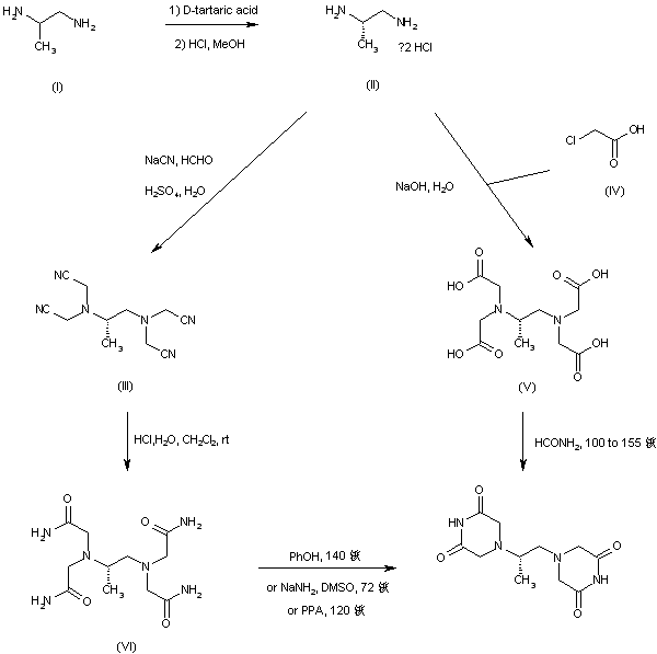
The chiral diamine (II) was obtained by resolution of racemic 1,2-diaminopropane (I) with D-tartaric acid. Condensation of diamine (II) with formaldehyde and NaCN produced the tetranitrile (III). Acidic hydrolysis of tetranitrile (III) produced tetraamide (VI). The cyclization of (VI) upon heating in phenol furnished the title bis-piperazinedione. The cyclization of tetraamide (VI) has also been reported using polyphosphoric acid or sodium (methylsulfinyl)methyde. Alternatively, the synthesis of Dexrazoxane can be performed by by alkylation of diamine (II) with chloroacetic acid (IV) by means of NaOH in water to afford tetraacid (V), which is then subjected to cyclization in hot formamide.

参考文献No.57797
标题:Process for preparing bis(3,5-dioxopiperazinyl)alkanes or alkenes
作者:Tu, C.-Y.J.; Clark, G.W.; Borsotti, G.
来源:EP 0330381
合成路线图解说明:

The chiral diamine (II) was obtained by resolution of racemic 1,2-diaminopropane (I) with D-tartaric acid. Condensation of diamine (II) with formaldehyde and NaCN produced the tetranitrile (III). Acidic hydrolysis of tetranitrile (III) produced tetraamide (VI). The cyclization of (VI) upon heating in phenol furnished the title bis-piperazinedione. The cyclization of tetraamide (VI) has also been reported using polyphosphoric acid or sodium (methylsulfinyl)methyde. Alternatively, the synthesis of Dexrazoxane can be performed by by alkylation of diamine (II) with chloroacetic acid (IV) by means of NaOH in water to afford tetraacid (V), which is then subjected to cyclization in hot formamide.

参考文献No.57798
标题:Process for preparing (S)(+)-4,4'-(1-methyl-1,2-ethanediyl)-bis(2,6-piperazinedione)
作者:Holthuis, J.J.M.; MacDonald, P.L.; Stradi, R.; Rossetto, P. (EuroCetus BV)
来源:WO 9308172
合成路线图解说明:

The chiral diamine (II) was obtained by resolution of racemic 1,2-diaminopropane (I) with D-tartaric acid. Condensation of diamine (II) with formaldehyde and NaCN produced the tetranitrile (III). Acidic hydrolysis of tetranitrile (III) produced tetraamide (VI). The cyclization of (VI) upon heating in phenol furnished the title bis-piperazinedione. The cyclization of tetraamide (VI) has also been reported using polyphosphoric acid or sodium (methylsulfinyl)methyde. Alternatively, the synthesis of Dexrazoxane can be performed by by alkylation of diamine (II) with chloroacetic acid (IV) by means of NaOH in water to afford tetraacid (V), which is then subjected to cyclization in hot formamide.

参考文献No.58255
标题:(3,5,3',5'-Tetraoxo)-1,2-dipiperazinoalkane cpds. and process for their preparation
作者:Creighton, A.M. (National Research Development Corp.)
来源:DE 1910283; DE 1967027
合成路线图解说明:

The chiral diamine (II) was obtained by resolution of racemic 1,2-diaminopropane (I) with D-tartaric acid. Condensation of diamine (II) with formaldehyde and NaCN produced the tetranitrile (III). Acidic hydrolysis of tetranitrile (III) produced tetraamide (VI). The cyclization of (VI) upon heating in phenol furnished the title bis-piperazinedione. The cyclization of tetraamide (VI) has also been reported using polyphosphoric acid or sodium (methylsulfinyl)methyde. Alternatively, the synthesis of Dexrazoxane can be performed by by alkylation of diamine (II) with chloroacetic acid (IV) by means of NaOH in water to afford tetraacid (V), which is then subjected to cyclization in hot formamide.

Drug Information Express,Drug R&D,Chemical Database,Patent Search.
Copyright © 2006-2026 Drug Future. All rights reserved.Contact Us