【药物名称】TAN-1251A
化学结构式(Chemical Structure):
参考文献No.486446
标题:Total synthesis of (?-TAN1251A
作者:Nagumo, S.; et al.
来源:Tetrahedron Lett 1998,39(25),4493
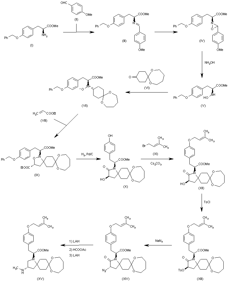
合成路线图解说明:

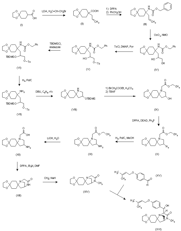
Alkylation of acid (I) with allyl bromide in the presence of two equivalents of lithium diisopropylamide (LDA) in THF gave (II). Curtius rearrangement of acid (II) using diphenylphosphoryl azide (DPPA), followed by treatment of the intermediate isocyanate with benzyl alcohol afforded benzyl carbamate (III). Dihydroxylation of (III) with N-methylmorpholine-N-oxide (NMO) and a catalytic amount OsO4 provided diol (IV), which was selectively tosylated at the primary hydroxyl group with p-toluenesulfonyl chloride in the presence of dimethylaminopyridine (DMAP). Protection of secondary hydroxyl group of the resulting tosylate (V) was effected with tert-butyldimethylsilyl chloride in the presence of imidazole, affording silyl ether (VI). Then, benzyl carbamate was removed by hydrogenolysis using palladium on carbon in methanol to give free amine (VII), and further cyclization in the presence of 1,8-diazabicycloundec-7-ene (DBU) in refluxing benzene afforded azaspiro compound (VIII). This was alkylated with ethyl bromoacetate in the presence of K2CO3, followed by deprotection of the silyl ether with tetrabutylammonium fluoride to give (IX). Alcohol (IX) was then converted into azide (X) under Mitsunobu's conditions, and subsequently reduced to primary amine (XI) by catalytic hydrogenation. Hydrolysis of ester (XI) with LiOH gave acid (XII), which was cyclized by treatment with diphenylphosphoryl azide and triethylamine to give rise to the tetracyclic system (XIII). Treatment of (XIII) with iodomethane in the presence of sodium hydride provided the N-methylated compound (XIV). Condensation of (XIV) with aldehyde (XV) was performed using LDA as a base in THF at -78 C to form two separable aldol adducts (XVI), which were determined to be epimeric at the benzylic position.

合成路线图解说明:

Mesylation of either isomer, followed by elimination in mesylate (XVII) with potassium tert-butoxide gave enone (XVIII). Reduction of carbonyl group was then effected with AlH3, prepared from lithium aluminum hydride and aluminum chloride yielding (XIX), and finally, deprotection of acetal (XIX) with HCl in acetone afforded the desired compound.

参考文献No.579270
标题:Biomimeric total syntheses of (-)-TAN1251A, (+)-TAN1251B, (+)-TAN1251C, and (+)-TAN1251D
作者:Snider, B.B.; Lin, H.
来源:Org Lett 2000,2(5),643
合成路线图解说明:

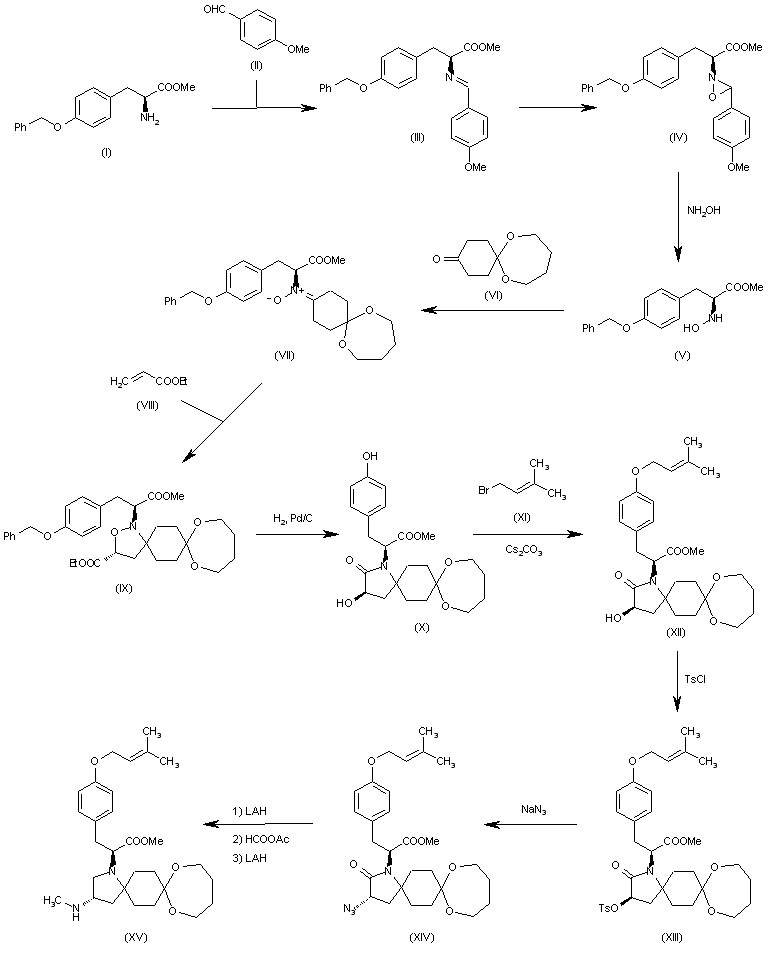
The condensation of 4-O-benzyl-L-tyrosine methyl ester (I) with 4-methoxybenzaldehyde (II) in methanol gives the imine (III), which is oxidized with MCPBA yielding the oxaziridine (IV). The reaction of (IV) with NH2OH affords the 4-O-benzyl-N-hydroxy-L-tyrosine methyl ester (V), which is condensed with cyclohexane-1,4-dione monobutyleneketal (VI) in ethanol giving the imine oxide (VII). The cyclization of (VII) with ethyl acrylate (VIII) in refluxing toluene yields the spiranic isoxazolidine (IX). The hydrogenolysis of the O-N bond of (IX) with H2 over Pd/C, followed by lactam formation by means of AcOH affords the spiranic hydroxypyrrolidinone (X), which is alkylated at the phenolic OH with 3-methyl-2-butenyl bromide (XI) and Cs2CO3 in hot acetone providing the phenolic ether (XII). The reaction of (XII) with tosyl chloride, TEA and DMAP gives the tosylate (XIII), which is treated with sodium azide in DMF to affords the azide (XIV). The reduction of (XIV) with LiAlH4 followed by reductive methylation of the resulting amine with formic acetic anhydride and LiAlH4 provides the methyl-amino derivative (XV).

合成路线图解说明:

Intermediate (XV) is submitted to cyclization by means of trifluoroacetic anhydride (TFAA) and TEA in DMSO furnishing the spiranic 1,4-diazabicyclo[3.2.1]heptane derivative (XVI). The oxidation of (XVI) with DDQ in dichloromethane provides eniminium salt (XVII), which is reduced with NaCNBH3 to affords the butyleneketal of the target compound that is deprotected with HCl in aqueous acetone.

合成路线图解说明:

The condensation of 4-O-benzyl-L-tyrosine methyl ester (I) with 4-methoxybenzaldehyde (II) in methanol gives the imine (III), which is oxidized with MCPBA yielding the oxaziridine (IV). The reaction of (IV) with NH2OH affords the 4-O-benzyl-N-hydroxy-L-tyrosine methyl ester (V), which is condensed with cyclohexane-1,4-dione monobutyleneketal (VI) in ethanol giving the imine oxide (VII). The cyclization of (VII) with ethyl acrylate (VIII) in refluxing toluene yields the spiranic isoxazolidine (IX). The hydrogenolysis of the O-N bond of (IX) with H2 over Pd/C, followed by lactam formation by means of AcOH affords the spiranic hydroxypyrrolidinone (X), which is alkylated at the phenolic OH with 3-methyl-2-butenyl bromide (XI) and Cs2CO3 in hot acetone providing the phenolic ether (XII). The reaction of (XII) with tosyl chloride, TEA and DMAP gives the tosylate (XIII), which is treated with sodium azide in DMF to affords the azide (XIV). The reduction of (XIV) with LiAlH4 followed by reductive methylation of the resulting amine with formic acetic anhydride and LiAlH4 provides the methylamino derivative.

合成路线图解说明:

Intermediate (XV) is submitted to cyclization by means of trifluoroacetic anhydride (TFAA) and TEA in DMSO furnishing the spiranic 1,4-diazabicyclo[3.2.1]heptane derivative (XVI). The oxidation of (XVI) with DDQ in dichloromethane provides eniminium salt (XVII), which is reduced with NaCNBH3 to afford the butyleneketal intermediate that is deprotected with HCl in aqueous acetone yielding the TAN-1251a (XVIII). Finally, this compound is treated with LDA in THF giving a mixture of enolates that is quenched with TMSCl. This mixture of silyl enolates is oxidized with OsO4 in aqueous tert-butanol yielding a mixture of hydroxylated compounds that is resolved by a cumbersome chromatographic separation on a reverse phase HPLC column, followed by a chiral Chiralpak AD column.

参考文献No.616417
标题:N-methoxy-N-acylnitrenium ions: Application to the formal synthesis of (-)-TAN1251A
作者:Wardrop, D.J.; Basak, A.
来源:Org Lett 2001,3(7),1053
合成路线图解说明:

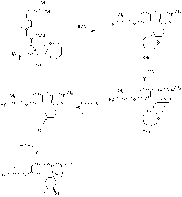
The reaction of L-tyrosine (I) with methyl chloroformate (II) by means of NaOH in water gives the carbamate (III), which is methylated at the remaining phenol and carboxylic groups with dimethyl sulfate and K2CO3 in refluxing acetone to yield the 4-O-methyl tyrosine derivative (IV). The hydrolysis of the methyl ester of (IV) with NaOH in dioxane/water, followed by reaction with O-methylhydroxylamine by means of DCC and HOBT, affords the methyl hydroxamate (V). The cyclization of (V) by means of bis(trifluoroacetoxy)iodobenzene in dichloromethane/methanol provides the spirodienone (VI), which is hydrogenated with H2 over Pd/C in ethyl acetate to give the saturated ketone (VII). The protection of the ketonic group of (VII) with ethyleneglycol and PPTS yields the cyclic ketal (VIII), which is reduced with LiAlH4 in THF to afford the methoxyamine (IX). The protection of the N-methylamine of (IX) with benzyl chloroformate and TEA provides the carbamate (X), which is treated with Zn in acetic acid in order to cleave the N-methoxyamine group and yield the spiropyrrolidine (XI). The alkylation of the pyrrolidine NH with benzyl chloroformate (XII) and K2CO3 in warm acetonitrile affords the adduct (XIII), which is treated with H2 over Pd/C in methanol in order to remove the benzyl and benzyloxycarbonyl protecting groups, providing the amino acid (XIV). The cyclization of (XIV) by means of DPPA and NaHCO3 in DMF/dichloromethane gives the tetracyclic compound (XV), which is condensed with 4-(prenyloxy)benzaldehyde (XVI) by means of LDA in THF yielding the aldol condensation product (XVII).

合成路线图解说明:

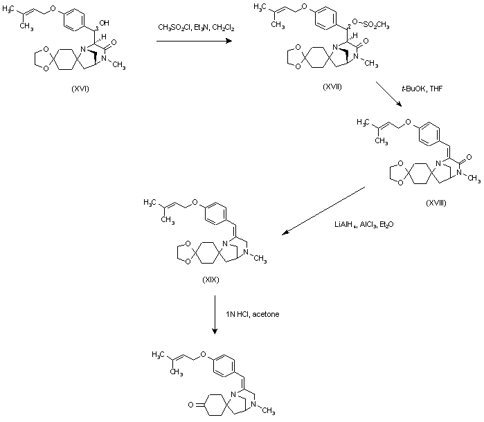
The reaction of aldol (XVII) with Ms-Cl and TEA in dichloromethane gives the mesylate (XVIII), which is treated with tBu-OK in THF to obtain the unsaturated amide (XIX). The reduction of the amide group of (XIX) with AlH3 in ethyl ether yields the corresponding unsaturated enamine (XX), which is finally deprotected by treatment with HCl in acetone.

参考文献No.682047
标题:Facile synthesis of enantiopure (-)-TAN1251A
作者:Mizutani, H.; et al.
来源:Tetrahedron Lett 2002,43(13),2411
合成路线图解说明:

The reaction of L-tyrosine methyl ester (I) with ethyl chloroformate and K2CO3 in water gives the carbamate (II), which is protected with Bn-Br and K2CO3 in DMF, yielding the benzyl ether (III). The reduction of (III) by means of LiAlH4 in refluxing THF affords the chiral 2-methylaminopropanol (IV), which is protected as its Boc derivative (V) by means of Boc2O. The oxidation of (V) by means of DMP provides the carbaldehyde (VI), which is reductocondensed with glycine methyl ester (VII) by means of NaBH3CN in methanol to give the adduct (VIII). Elimination of the Boc protecting group of (VIII) by means of TFA yields the diamine (IX), which is cyclized by means of NH4OH in ethanol to afford the piperazinone (X). Elimination of the benzyl protecting group of (X) by hydrogenation with H2 over Pd/C provides the phenol (XIa)-(XIb), which is cyclized by means of bis(acetoxy)iodobenzene in hexafluoroisopropanol to give the spiranic cyclohexadienone (XII). The hydrogenation of (XII) by means of Tes-H and CuI in dichloromethane yields the spiranic cyclohexanone (XIII), which is finally ketalized by means of ethyleneglycol (XIV) and PPTS in refluxing benzene to provide the target ethyleneketal intermediate (XV) (See scheme no. 18599903a, intermediate (XV)).

参考文献No.684587
标题:Total synthesis of antimuscarinic alkaloid, (?-TAN1251A
作者:Nagumo, S.; et al.
来源:Tetrahedron 2002,58(24),4917
合成路线图解说明:

Alkylation of acid (I) with allyl bromide in the presence of two equivalents of lithium diisopropylamide (LDA) in THF gave (II). Curtius rearrangement of acid (II) using diphenylphosphoryl azide (DPPA), followed by treatment of the intermediate isocyanate with benzyl alcohol afforded benzyl carbamate (III). Dihydroxylation of (III) with N-methylmorpholine-N-oxide (NMO) and a catalytic amount OsO4 provided diol (IV), which was selectively tosylated at the primary hydroxyl group with p-toluenesulfonyl chloride in the presence of dimethylaminopyridine (DMAP). Protection of secondary hydroxyl group of the resulting tosylate (V) was effected with tert-butyldimethylsilyl chloride in the presence of imidazole, affording silyl ether (VI). Then, benzyl carbamate was removed by hydrogenolysis using palladium on carbon in methanol to give free amine (VII), and further cyclization in the presence of 1,8-diazabicycloundec-7-ene (DBU) in refluxing benzene afforded azaspiro compound (VIII). This was alkylated with ethyl bromoacetate in the presence of K2CO3, followed by deprotection of the silyl ether with tetrabutylammonium fluoride to give (IX). Alcohol (IX) was then converted into azide (X) under Mitsunobu's conditions, and subsequently reduced to primary amine (XI) by catalytic hydrogenation. Hydrolysis of ester (XI) with LiOH gave acid (XII), which was cyclized by treatment with diphenylphosphoryl azide and triethylamine to give rise to the tetracyclic system (XIII). Treatment of (XIII) with iodomethane in the presence of sodium hydride provided the N-methylated compound (XIV). Condensation of (XIV) with aldehyde (XV) was performed using LDA as a base in THF at -78 C to form two separable aldol adducts (XVI), which were determined to be epimeric at the benzylic position.

合成路线图解说明:

Mesylation of either isomer, followed by elimination in mesylate (XVII) with potassium tert-butoxide gave enone (XVIII). Reduction of carbonyl group was then effected with AlH3, prepared from lithium aluminum hydride and aluminum chloride yielding (XIX), and finally, deprotection of acetal (XIX) with HCl in acetone afforded the desired compound.

参考文献No.709765
标题:Synthesis of (-)-TAN1251A using 4-hydroxy-L-proline as a chiral source
作者:Nagumo, S.; et al.
来源:Tetrahedron 2002,58(49),9871
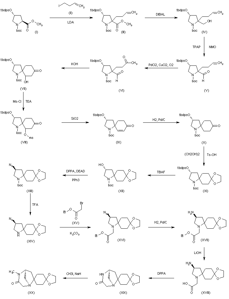
合成路线图解说明:

The alkylation of the protected hydroxyproline (I) with 4-iodo-1-butene (II) by means of LDA in THF gives the 2-alkylproline (III), which is reduced with DIBAL in toluene to yield the carbinol (IV). The oxidation of (IV) by means of TPAP and NMO in dichloromethane affords the carbaldehyde (V), which is oxidated at its terminal vinyl group by means of PdCl2, CuCl2 and O2 in aqueous DMF to provide the methyl ketone (VI). The cyclization of (VI) by means of KOH in ethanol furnishes the cyclic aldol (VII), which is treated with Ms-Cl and TEA to give the mesylate (VIII). The elimination reaction of (VIII) over chromatographic silicagel yields enone (IX), which is hydrogenated with H2 over Pd/C in benzene to afford the spiranic ketone (X). The reaction of (X) with ethyleneglycol and Ts-OH in refluxing benzene provides the ethylene ketal (XI), which is desilylated by means of TBAF in THF to gives the alcohol (XII). The reaction of (XII) with DPPA, DEAD and PPh3 in THF yields the azide (XIII), which is subjected to removal of the Boc protecting group by means of TFA affording unprotected spiro pyrrolidine derivative (XIV). Alkylation of (XIV) with ethyl bromoacetate (XV) by means of K2CO3 in acetonitrile provides the ester (XVI), which is reduced at the azido group by means of H2 over Pd/C in methanol to give the aminoester (XVII). The hydrolysis of the ester group of (XVII) with LiOH in water yields the spiranic aminoacid (XVIII), which is cyclized by means of DPPA and TEA in DMF to afford the tetracyclic amide (XIX). Finally this compound is methylated by means of methyl iodide and NaH in THF to provide the target tetracyclic intermediate (XX) (see scheme no.18599903a, intermediate (XV)).

Drug Information Express,Drug R&D,Chemical Database,Patent Search.
Copyright © 2006-2026 Drug Future. All rights reserved.Contact Us