【药物名称】Valsartan, VAL-489, CGP-48933, Nisis, Kalpress, Vals, Miten, Varexan, Provas, Valpression, Tareg, Diovan
化学结构式(Chemical Structure):
参考文献No.15741
标题:Acyl cpds.
作者:B黨lmayer, P.; Ostermayer, F.; Schmidlin, T. (Novartis AG)
来源:EP 0443983; JP 1992235149; US 5399578; US 5965592
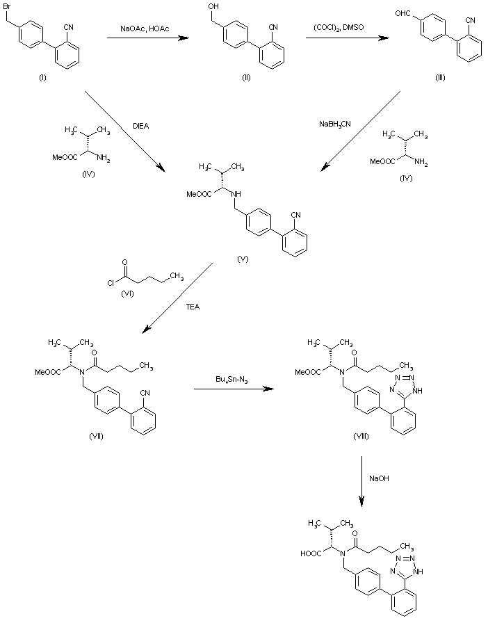
合成路线图解说明:

This compound has been obtained by two related ways: 1) The hydrolysis of 4'-(bromomethyl)biphenyl-2-carbonitrile (I) with NaOAc in refluxing acetic acid gives the corresponding carbinol (II), which is oxidized with oxalyl chloride in DMSO/dichloromethane yielding the aldehyde (III). The reductocondensation of (III) with L-valine methyl ester (IV) by means of NaBH4CN in THF affords the N-alkylated valine (V), which is acylated with pentanoyl chloride (VI) and TEA in dichloromethane providing the pentanamide (VII). The reaction of the CN group of (VII) with tributyltin azide in refluxing xylene gives the tetrazol derivative (VIII). Finally, the ester group of (VIII) is hydrolyzed with NaOH to furnish the target compound. 2) L-valine methyl ester (IV) can be condensed directly with the bromo-methyl derivative (I) by means of DIEA in dichloromethane giving the N-alkylated valine (V) already reported.

参考文献No.242954
标题:Valsartan, a potent, orally active angiotensin II antagonist developed from the structurally new amino acid series
作者:B黨lmayer, P.; et al.
来源:Bioorg Med Chem Lett 1994,4(1),29
合成路线图解说明:

This compound has been obtained by two related ways: 1) The hydrolysis of 4'-(bromomethyl)biphenyl-2-carbonitrile (I) with NaOAc in refluxing acetic acid gives the corresponding carbinol (II), which is oxidized with oxalyl chloride in DMSO/dichloromethane yielding the aldehyde (III). The reductocondensation of (III) with L-valine methyl ester (IV) by means of NaBH4CN in THF affords the N-alkylated valine (V), which is acylated with pentanoyl chloride (VI) and TEA in dichloromethane providing the pentanamide (VII). The reaction of the CN group of (VII) with tributyltin azide in refluxing xylene gives the tetrazol derivative (VIII). Finally, the ester group of (VIII) is hydrolyzed with NaOH to furnish the target compound. 2) L-valine methyl ester (IV) can be condensed directly with the bromo-methyl derivative (I) by means of DIEA in dichloromethane giving the N-alkylated valine (V) already reported.

参考文献No.598419
标题:Carbon-14 labelling of Diovan(TM) in its valine-moiety
作者:Moenius, T.; et al.
来源:J Label Compd Radiopharm 2000,43(13),1245
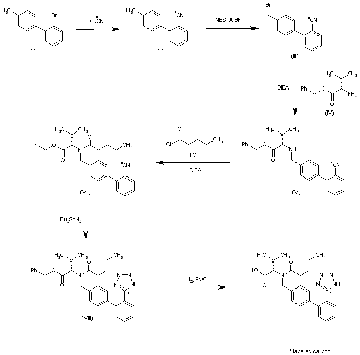
合成路线图解说明:

The reaction of 2-bromo-4'-methylbiphenyl (I) with 14C labeled cuprous cyanide in refluxing DMF gives 4'-methylbiphenyl-2-carbonitrile (II), which is brominated with NBS and AIBN in refluxing CCl4 to yield the bromomethyl derivative (III). The condensation of (III) with L-valine benzyl ester (IV) by means of DIEA in hot DMF affords the N-substituted valine (V), which is acylated with pentanoyl chloride (VI) and DIEA to provide the N-acylated valine (VII). The cyclization of the cyano group of (VII) with tributyltin azide at 140 C furnishes the tetrazol derivative (VIII) which is finally debenzylated by hydrogenation with H2 over Pd/C in dioxane.

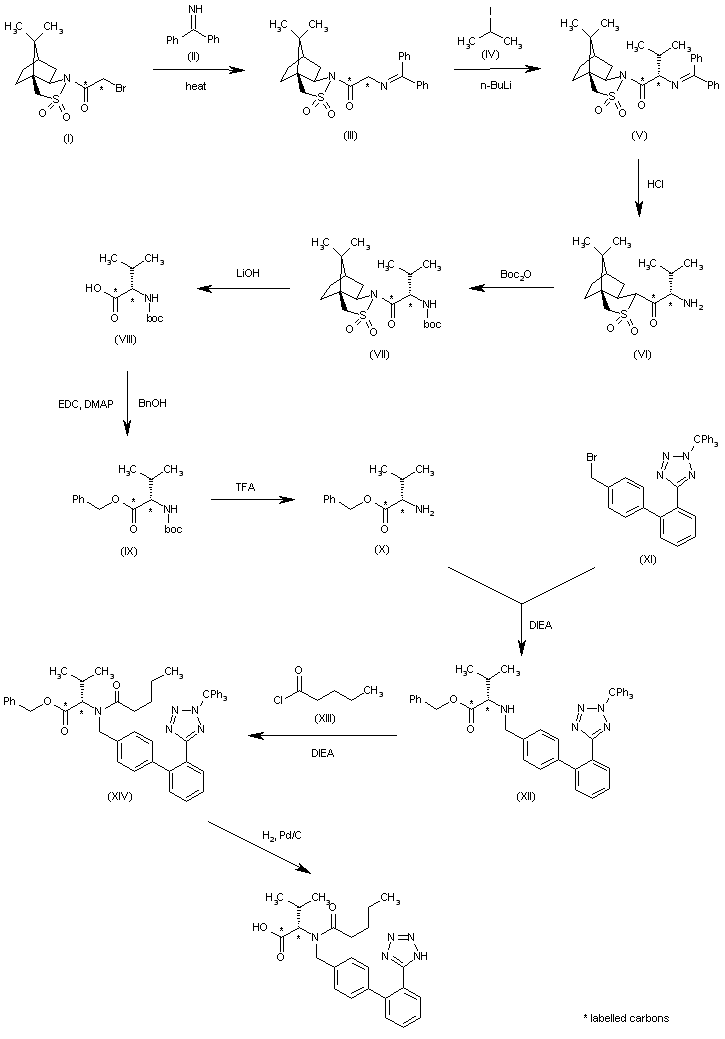
合成路线图解说明:

The reaction of 14C labeled chiral bromoacetyl sultam (I) with benzophenoneimine (II) in hot acetonitrile gives the substituted benzophenoneimine (III), which is estereoselectively alkylated with isopropyl iodide (IV) and n-BuLi in THF yielding the labeled L-valine derivative (V). The hydrolysis of (V) with HCl in THF affords the valine derivative (VI) with a free amino group that is protected with Boc2O in THF providing the carbamate (VII). The basic hydrolysis of (VII) with LiOH in THF gives the labeled N-(tert-butoxycarbonyl)-L-valine (VIII), which is esterified with Bn-OH, EDC and DMAP in dichloromethane yielding the protected benzyl ester (IX). Treatment of (IX) with TFA in dichloromethane affords L-valine benzyl ester (X), which is condensed with the bromomethylbiphenyl (XI) by means of DIEA in hot DMF to give the N-alkylated valine ester (XII). The acylation of (XII) with pentanoyl chloride (XIII) by means of DIEA in toluene yields the N-disubstituted valine ester (XIV), which is finally deprotected by hydrogenation with H2 over Pd/C in EtOH.

Drug Information Express,Drug R&D,Chemical Database,Patent Search.
Copyright © 2006-2026 Drug Future. All rights reserved.Contact Us