【药物名称】Alosetron hydrochloride, GR-68755C, Lotronex
化学结构式(Chemical Structure):
参考文献No.181099
标题:GR-68755 Hydrochloride
作者:Oxford, A.W.; Hagan, R.M.; Tyers, M.B.; Kilpatrick, G.J.; North, P.C.
来源:Drugs Fut 1992,17(8),660
合成路线图解说明:

1) Treatment of 4-methyl-5-hydroxymethylimidazole (I) with trimethylsilyl chloride and triethylamine followed by reaction with N,N-dimethylsulfamoyl chloride gives the protected imidazole (II). Removal of the trimethylsilyl group by means of tetrabutylammonium fluoride affords the 5-hydroxymethylimidazole (III), which is converted into the chloromethylimidazole (IV) with thionyl chloride.

合成路线图解说明:

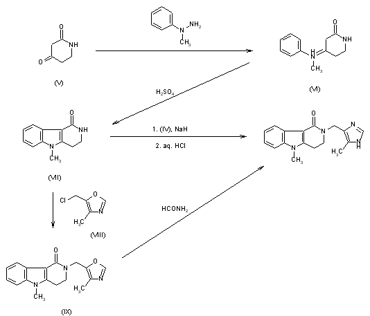
2) Alkylation of the tetrahydropyridoindolone (VII) with 5-chloromethyl-4-methyloxazole (VIII) in dimethoxyethane in the presence of sodium hydride affords (IX). Ammonolysis of this material is carried out by heating with formamide.

合成路线图解说明:

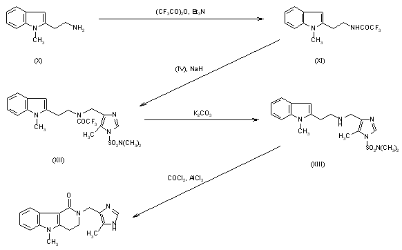
3) Treatment of 2-(1-methylindol-2-yl)ethanamine (X) in dichloromethane with trifluoroacetic anhydride and triethylamine yields the trifluoroacetamide (XI). This is alkylated with the chloromethylimidazole (IV) to give (XII) and then treated with aqueous potassium carbonate to generate the amino derivative (XIII). Finally, the reaction of (XIII) with phosgene and aluminum chloride in methylene chloride effects acylation and cyclization with concomitant removal of the protecting group.

合成路线图解说明:

4) Treatment of the 2-substituted indole (XII) with iodine and potassium iodide in aqueous solution in the presence of potassium carbonate yields the corresponding 3-iodo derivative (XIV). Hydrolysis of the trifluoroacetyl group with aqueous potassium carbonate gives the amino derivative (XV), which undergoes a palladium-catalyzed carbonylation reaction to form the lactam. Finally, the protecting group is removed with hydrochloric acid.

Drug Information Express,Drug R&D,Chemical Database,Patent Search.
Copyright © 2006-2026 Drug Future. All rights reserved.Contact Us