【药物名称】GYKI-46903
化学结构式(Chemical Structure):
参考文献No.20612
标题:New 1-azabicycloalkane derivs., pharmaceutical compsns. containing them and process for preparing same
作者:S髄yom, S.; Abraham, G.; Sz鰈鰏sy, M.; Borsi, J.; Vit醠is, B.; Karimn?Tapfer, M.; Szab髇?Bady, E.; Csuzdi, E.; Goldschmidtn?Horv醫h, K.; M醫? G.; Ling, I.; Mikl髎n?Kov醕s, A. (Gyogyszerkutato Intezet Kft.)
来源:EP 0556342; JP 1994505706; WO 9207854
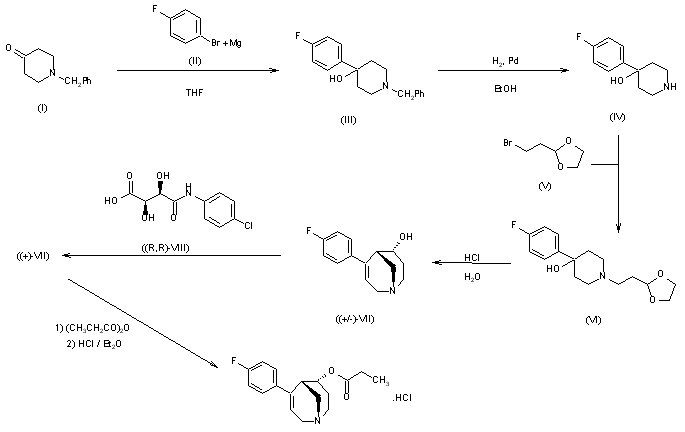
合成路线图解说明:

N-Benzyl-4-piperidone (I) was reacted with a Grignard reagent prepared from 4-fluorobromobenzene (II) to give the carbinol (III). The benzyl group was removed by catalytic hydrogenation and the resulting amine (IV) was alkylated with 3-bromopropionaldehyde ethylene acetal (V) to the alcohol (VI). Ring closure in hydrochloric acid gave the bicyclic endo-alcohol [(?-VII] along with some of the exo-isomer removed by crystallization. [(?-VII] was resolved by crystallization with (R,R)-tartaric acid mono-4-chloroanilide (VIII) to give [(+)-VII] of yet unknown absolute configuration. The latter was acylated with propionic anhydride followed by crystallization with hydrogen chloride in ether to furnish the end product.

参考文献No.208390
标题:GYKI-46903
作者:N骻r醖i, M.
来源:Drugs Fut 1993,18(5),421
合成路线图解说明:

N-Benzyl-4-piperidone (I) was reacted with a Grignard reagent prepared from 4-fluorobromobenzene (II) to give the carbinol (III). The benzyl group was removed by catalytic hydrogenation and the resulting amine (IV) was alkylated with 3-bromopropionaldehyde ethylene acetal (V) to the alcohol (VI). Ring closure in hydrochloric acid gave the bicyclic endo-alcohol [(?-VII] along with some of the exo-isomer removed by crystallization. [(?-VII] was resolved by crystallization with (R,R)-tartaric acid mono-4-chloroanilide (VIII) to give [(+)-VII] of yet unknown absolute configuration. The latter was acylated with propionic anhydride followed by crystallization with hydrogen chloride in ether to furnish the end product.

Drug Information Express,Drug R&D,Chemical Database,Patent Search.
Copyright © 2006-2026 Drug Future. All rights reserved.Contact Us