【药物名称】Banoxantrone, AQ4N
化学结构式(Chemical Structure):
参考文献No.18479
标题:Anti-cancer cpds.
作者:Patterson, L.H. (National Research Development Corp.)
来源:US 5132327; WO 9105824
合成路线图解说明:

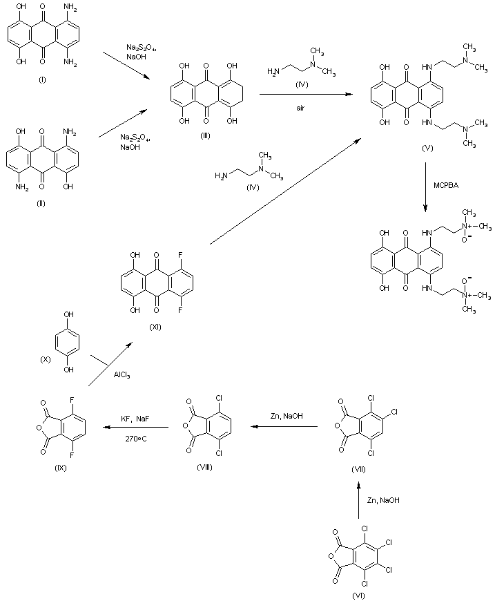
This compound has been obtained by two different methods: The reduction of 1,4-diamino-5,8-dihydroxyanthraquinone (I) or 1,5-diamino-4,8-dihydroxyanthraquinone (II) with Na2S2O4 and NaOH in water gives the leuco derivative (III), which is condensed with N,N-dimethylethylene-1,2-diamine (IV) in refluxing ethanol and reoxidized by air to yield 1,4-bis[2-(dimethylamino)ethylamino]-5,8-dihydroxyanthraquinone (V). Finally, this compound is treated with MCPBA in dichloromethane to afford the target bis-N-oxide. Alternatively, the reduction of tetrachlorophthalic anhydride (VI) with Zn and NaOH in water at 50-60 C gives 3,4,6-trichlorophthalic anhydride (VII), which is further reduced with Zn and NaOH in refluxing water to yield 3,6-dichlorophthalic anhydride (VIII). The reaction of (VIII) with KF and NaF at 260-27 ?C affords 3,6-difluorophthalic anhydride (IX), which is cyclized with hydroquinone (X) by means of AlCl3 and NaCl at 200 +/- 5 C to provide 1,4-difluoro-5,8-dihydroxyanthraquinone (XI). Finally, this compound is condensed with N,N-dimethylethylene-1,2-diamine (IV) in pyridine to afford the already reported 1,4-bis[2-(dimethylamino)ethylamino]-5,8-dihydroxyanthraquinone (V), which is oxidized with MCPBA as before.

参考文献No.56728
标题:Process for the preparation of 1,4-bis[[2-(dimethylamino)ethyl]amino]-5,8-dihydroxyanthracene-9,10-dione
作者:Denny, W.A.; Lee, H.H. (BTG International Ltd.)
来源:WO 0005194
合成路线图解说明:

This compound has been obtained by two different methods: The reduction of 1,4-diamino-5,8-dihydroxyanthraquinone (I) or 1,5-diamino-4,8-dihydroxyanthraquinone (II) with Na2S2O4 and NaOH in water gives the leuco derivative (III), which is condensed with N,N-dimethylethylene-1,2-diamine (IV) in refluxing ethanol and reoxidized by air to yield 1,4-bis[2-(dimethylamino)ethylamino]-5,8-dihydroxyanthraquinone (V). Finally, this compound is treated with MCPBA in dichloromethane to afford the target bis-N-oxide. Alternatively, the reduction of tetrachlorophthalic anhydride (VI) with Zn and NaOH in water at 50-60 C gives 3,4,6-trichlorophthalic anhydride (VII), which is further reduced with Zn and NaOH in refluxing water to yield 3,6-dichlorophthalic anhydride (VIII). The reaction of (VIII) with KF and NaF at 260-27 ?C affords 3,6-difluorophthalic anhydride (IX), which is cyclized with hydroquinone (X) by means of AlCl3 and NaCl at 200 +/- 5 C to provide 1,4-difluoro-5,8-dihydroxyanthraquinone (XI). Finally, this compound is condensed with N,N-dimethylethylene-1,2-diamine (IV) in pyridine to afford the already reported 1,4-bis[2-(dimethylamino)ethylamino]-5,8-dihydroxyanthraquinone (V), which is oxidized with MCPBA as before.

参考文献No.691268
标题:A large-scale synthesis of the bioreductive drug 1,4-bis[[2-(dimethylamino)ethyl]amino]-5,8-dihydroxyanthracene-9,10-dione bis-N-oxide (AQ4N)
作者:Denny, W.A.; Lee, H.H.
来源:J Chem Soc - Perkins Trans I 1999,(19),2755
合成路线图解说明:

This compound has been obtained by two different methods: The reduction of 1,4-diamino-5,8-dihydroxyanthraquinone (I) or 1,5-diamino-4,8-dihydroxyanthraquinone (II) with Na2S2O4 and NaOH in water gives the leuco derivative (III), which is condensed with N,N-dimethylethylene-1,2-diamine (IV) in refluxing ethanol and reoxidized by air to yield 1,4-bis[2-(dimethylamino)ethylamino]-5,8-dihydroxyanthraquinone (V). Finally, this compound is treated with MCPBA in dichloromethane to afford the target bis-N-oxide. Alternatively, the reduction of tetrachlorophthalic anhydride (VI) with Zn and NaOH in water at 50-60 C gives 3,4,6-trichlorophthalic anhydride (VII), which is further reduced with Zn and NaOH in refluxing water to yield 3,6-dichlorophthalic anhydride (VIII). The reaction of (VIII) with KF and NaF at 260-27 ?C affords 3,6-difluorophthalic anhydride (IX), which is cyclized with hydroquinone (X) by means of AlCl3 and NaCl at 200 +/- 5 C to provide 1,4-difluoro-5,8-dihydroxyanthraquinone (XI). Finally, this compound is condensed with N,N-dimethylethylene-1,2-diamine (IV) in pyridine to afford the already reported 1,4-bis[2-(dimethylamino)ethylamino]-5,8-dihydroxyanthraquinone (V), which is oxidized with MCPBA as before.

参考文献No.803933
标题:An improved practical synthesis of leuco-1,4,5,8-tetrahydroxyanthraquinone
作者:Chang, P.; Chang, C.C.
来源:Synth Commun 1995,25(3),1893
合成路线图解说明:

This compound has been obtained by two different methods: The reduction of 1,4-diamino-5,8-dihydroxyanthraquinone (I) or 1,5-diamino-4,8-dihydroxyanthraquinone (II) with Na2S2O4 and NaOH in water gives the leuco derivative (III), which is condensed with N,N-dimethylethylene-1,2-diamine (IV) in refluxing ethanol and reoxidized by air to yield 1,4-bis[2-(dimethylamino)ethylamino]-5,8-dihydroxyanthraquinone (V). Finally, this compound is treated with MCPBA in dichloromethane to afford the target bis-N-oxide. Alternatively, the reduction of tetrachlorophthalic anhydride (VI) with Zn and NaOH in water at 50-60 C gives 3,4,6-trichlorophthalic anhydride (VII), which is further reduced with Zn and NaOH in refluxing water to yield 3,6-dichlorophthalic anhydride (VIII). The reaction of (VIII) with KF and NaF at 260-27 ?C affords 3,6-difluorophthalic anhydride (IX), which is cyclized with hydroquinone (X) by means of AlCl3 and NaCl at 200 +/- 5 C to provide 1,4-difluoro-5,8-dihydroxyanthraquinone (XI). Finally, this compound is condensed with N,N-dimethylethylene-1,2-diamine (IV) in pyridine to afford the already reported 1,4-bis[2-(dimethylamino)ethylamino]-5,8-dihydroxyanthraquinone (V), which is oxidized with MCPBA as before.

Drug Information Express,Drug R&D,Chemical Database,Patent Search.
Copyright © 2006-2026 Drug Future. All rights reserved.Contact Us