【药物名称】Nothapodytine B, Mappicine ketone
化学结构式(Chemical Structure):
参考文献No.539173
标题:A convergent total synthesis of mappicine ketone: A leading antiviral compound
作者:Yadav, J.S.; et al.
来源:Tetrahedron 1999,55(17),5449
合成路线图解说明:

The cyclization of N-(ethoxycarbonyl)glycine ethyl ester (I) with ethyl acrylate (II) by means of NaH in refluxing benzene gives 4-oxopyrrolidine-1,3-dicarboxylic acid diethyl ester (III), which is selectively decarboxylated with refluxing aqueous 6N HCl yielding 3-oxopyrrolidine-1-carboxylic acid ethyl ester (IV). The Friedlander cyclization of (IV) with 2-aminobenzaldehyde (V) affords the pyrroloquinoline derivative (VI), which is decarboxylated in basic medium to afford 2,3-dihydro-1H-pyrrolo[3,4-b]quinoline (VII). The condensation of (VII) with the furanone derivative (VIII) by means of pyridine in acetonitrile affords the acylated pyrroloquinoline (IX), which is cyclized by means of NaOAc in acetic acid providing the tetracyclic intermediate (X). The dechlorination of (X) with H2 over Pd/C in ethanol affords the expected methyl derivative (XI), which is debenzoylated with sodium methoxide in methanol to give the secondary alcohol (XII). Finally, this compound is oxidized with pyridinium chlorochromate (PCC) in dichloromethane.

合成路线图解说明:

The intermediate, the furanone derivative (VIII) has been obtained as follows: The reaction of propargyl alcohol (XIII) with dihydropyran and Ts-OH gives the tetrahydropyranyl ether (XIV), which is treated with ethylmagnesium bromide to yield the corresponding magnesium derivative (XV). The reaction of (XV) with propionaldehyde (XVI) in THF affords the secondary alcohol (XVII), which is benzoylated with benzoyl chloride and triethylamine affording the benzoate (XVIII). The deprotection of (XVIII) with Ts-OH gives the primary alcohol (XIX), which is oxidized with pyridinium chlorochromate (PCC) to the corresponding aldehyde (XX). The Diels-Alder reaction of (XX) with 5-ethoxy-4-methyloxazole (XXI) in refluxing toluene yields 4-(1-benzoyloxypropyl)-2-ethoxyfuran-3-carbaldehyde (XXII), which is reduced with NaBH4 in methanol to the carbinol (XXIII). The controlled oxidation of (XXIII) with MnO2/HCl affords 4-(1-benzoyloxypropyl)-5-hydroxy-3-(hydroxymethyl)furan-2(5H)-one (XXIV), which is finally treated with SOCl2 and DMF in chloroform to afford the target intermediate (VIII).

参考文献No.594287
标题:New pyridone approach: Total synthesis of mappicine ketone (nothapodytine B)
作者:Mekouar, K.; Genisson, Y.; Leue, S.; Greene, A.E.
来源:J Org Chem 2000,65(17),5212
合成路线图解说明:

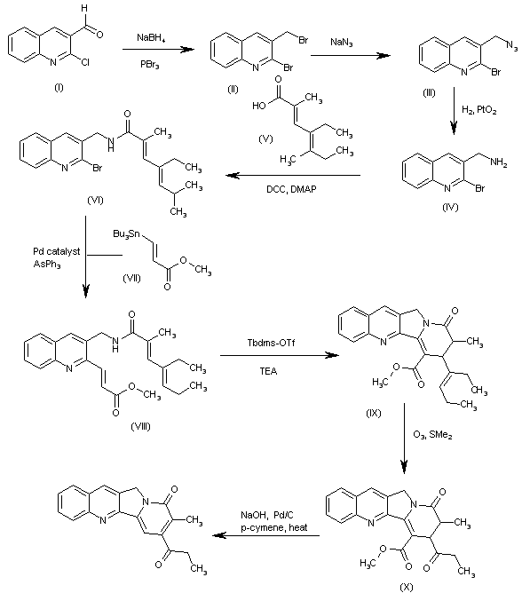
The reductobromination of 2-chloroquinoline-3-carbaldehyde (I) with NaBH4 and PBr3 in hot methanol gives 2-bromo-3-(bromomethyl)quinoline (II), which by reaction with sodium azide in DMF is converted into the azidomethyl compound (III). The reduction of (III) with H2 over PtO2 in ethanol affords the aminomethyl derivative (IV), which is condensed with 4-ethyl-2-methyl-2(E),4(E)-heptadienoic acid (V) by means of DCC and DMAP in dichloromethane to provide the corresponding amide (VI). The condensation of (VI) with tributylstannane (VII) by means of a Pd catalyst and triphenylarsine in hot dioxane gives the acrylic ester derivative (VIII), which is cyclized by means of Tbdms-OTf and TEA in dichloromethane to yield the tetracyclic compound (IX). The oxidation of the aliphatic double bond of (IX) with O3 and dimethylsulfide in dichloromethane affords the propionyl derivative (X), which is finally decarboxylated and dehydrogenated by means of NaOH, Pd/C and p-cymene in refluxing methanol/dichloromethane/water to provide the target compound.

参考文献No.598868
标题:A concise formal total synthesis of mappicine and nothapodytine B via and intramolecular hetero Diels-Alder reaction
作者:Toyota, M.; Komori, C.; Ihara, M.
来源:J Org Chem 2000,65(21),7110
合成路线图解说明:

The condensation of the 2-chloroquinoline-3-methanol (I) with trimethylsilyl acetylene (II) by means of PdCl2(PPh3)2 and CuI in DMF gives 2-(trimethylsilylethynyl)quinoline-3-methanol (III), which is treated with PPh3, CBr4 and sodium azide to yield the azidomethyl derivative (IV). The reduction of (IV) with PPh3 in THF/water affords the aminomethyl compound (V), which is condensed with fumaric acid monoethyl ester (VI) by means of BOP in acetonitrile to provide the amide (VII). The cyclization of (VII) by means of Tms-Cl, DIEA and ZnCl2 in toluene at 180 C in a sealed tube gives the tetracyclic ester (VIII), which is treated with HBr in ethyl acetate to yield the intermediate ethyl ester (IX). The transesterification of (IX) catalyzed by H2SO4 in refluxing methanol affords the methyl ester (X), which is methylated with diazomethane to provide 2-methyl-1-oxo-1,11-dihydroindolizino[1,2-b]quinoline-3-carboxylic acid methyl ester (XI). The reduction of (XI) with LiBH4 in hot bis(2-methoxyethyl)ether gives the tetracyclic carbinol (XII), which is oxidized with DMSO in hot Ac2O to yield the carbaldehyde (XIII). Finally, this compound is treated with diazoethane in ethyl ether to afford the target propionyl derivative.

参考文献No.642056
标题:Studies on the syntheses of heterocyclic compounds. Part DCXXII. Total synthesis of (?-mappicine [7-(1-hydroxypropyl)-8-methylindolizino[1,2-b]quinolin-9(11H)-one]
作者:Kametani, T.; et al.
来源:J Chem Soc - Perkins Trans I 1975,1825
合成路线图解说明:

The condensation of the 2-chloroquinoline-3-methanol (I) with trimethylsilyl acetylene (II) by means of PdCl2(PPh3)2 and CuI in DMF gives 2-(trimethylsilylethynyl)quinoline-3-methanol (III), which is treated with PPh3, CBr4 and sodium azide to yield the azidomethyl derivative (IV). The reduction of (IV) with PPh3 in THF/water affords the aminomethyl compound (V), which is condensed with fumaric acid monoethyl ester (VI) by means of BOP in acetonitrile to provide the amide (VII). The cyclization of (VII) by means of Tms-Cl, DIEA and ZnCl2 in toluene at 180 C in a sealed tube gives the tetracyclic ester (VIII), which is treated with HBr in ethyl acetate to yield the intermediate ethyl ester (IX). The transesterification of (IX) catalyzed by H2SO4 in refluxing methanol affords the methyl ester (X), which is methylated with diazomethane to provide 2-methyl-1-oxo-1,11-dihydroindolizino[1,2-b]quinoline-3-carboxylic acid methyl ester (XI). The reduction of (XI) with LiBH4 in hot bis(2-methoxyethyl)ether gives the tetracyclic carbinol (XII), which is oxidized with DMSO in hot Ac2O to yield the carbaldehyde (XIII). Finally, this compound is treated with diazoethane in ethyl ether to afford the target propionyl derivative.

Drug Information Express,Drug R&D,Chemical Database,Patent Search.
Copyright © 2006-2026 Drug Future. All rights reserved.Contact Us