【药物名称】YM-90K, YM-900(free base)
化学结构式(Chemical Structure):
参考文献No.192529
标题:Imidazolylquinoxaline-2,3-diones: Novel and potent antagonists of alpha-amino-3-hydroxy-5-methylisoxazole-4-propionate (AMPA) excitatory amino acid receptor
作者:Sakamoto, S.; Ohmori, J.; Shimizu-Sasamata, M.; et al.
来源:12th Int Symp Med Chem (Sept 13-17, Basel) 1992,Abst P-022.A.
合成路线图解说明:

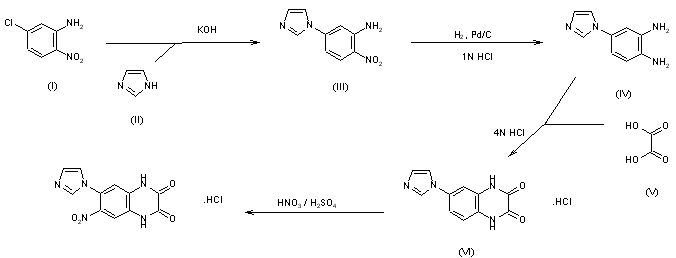
The condensation of 5-chloro-2-nitroaniline (I) with imidazole (II) by means of KOH in DMSO gives 5-(1-imidazolyl)-2-nitroaniline (III). Hydrogenation of (III) over Pd/C in 1N HCl gives the diamine (IV), which is condensed with oxalic acid (V) in 4N HCl yielding 6-(1-imidazolyl)quinoxaline-2,3(1H,4H)-dione hydrochloride (VI). Finally, this compound is nitrated with HNO3/H2SO4.

参考文献No.246338
标题:6-(1H-Imidazol-1-yl)-7-nitro-2,3(1H,4H)-quinoxalinedione hydrochloride (YM90K) and related compounds: Structure-activity relationships for the AMPA-type non-NMDA receptor
作者:Ohmori, J.; Sakamoto, S.; Kubota, H.; Shimizu-Sasamata, M.; Okada, M.; Kawasaki, S.; Hidaka, K.; Togami, J.; Furuya, T.; Murase, K.
来源:J Med Chem 1994,37(4),467-75
合成路线图解说明:

The condensation of 5-chloro-2-nitroaniline (I) with imidazole (II) by means of KOH in DMSO gives 5-(1-imidazolyl)-2-nitroaniline (III). Hydrogenation of (III) over Pd/C in 1N HCl gives the diamine (IV), which is condensed with oxalic acid (V) in 4N HCl yielding 6-(1-imidazolyl)quinoxaline-2,3(1H,4H)-dione hydrochloride (VI). Finally, this compound is nitrated with HNO3/H2SO4.

参考文献No.399410
标题:YM-900
作者:Ngo, J.; Rabasseda, X.; Casta馿r, J.
来源:Drugs Fut 1997,22(3),256
合成路线图解说明:

The condensation of 5-chloro-2-nitroaniline (I) with imidazole (II) by means of KOH in DMSO gives 5-(1-imidazolyl)-2-nitroaniline (III). Hydrogenation of (III) over Pd/C in 1N HCl gives the diamine (IV), which is condensed with oxalic acid (V) in 4N HCl yielding 6-(1-imidazolyl)quinoxaline-2,3(1H,4H)-dione hydrochloride (VI). Finally, this compound is nitrated with HNO3/H2SO4.

Drug Information Express,Drug R&D,Chemical Database,Patent Search.
Copyright © 2006-2026 Drug Future. All rights reserved.Contact Us