【药物名称】
化学结构式(Chemical Structure):
参考文献No.552674
标题:Further studies on oxygenated tryptamines with LSD-like activity incorporating a chiral pyrrolidine moiety into the side chain
作者:Gerasimov, M.; Marona-Lewicka, D.; Kurrasch-Orbaugh, D.M.; Qandil, A.M.; Nichols, D.E.
来源:J Med Chem 1999,42(20),4257
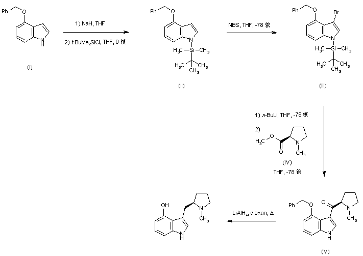
合成路线图解说明:

Alternatively, 5-methoxyindole (III) was N-silylated employing tert-butyldimethylsilyl chloride and n-BuLi, and the resulting silyl derivative (V) was brominated with N-bromosuccinimide at -78 C to afford the 3-bromoindole (VI). After lithium-bromine exchange in (VI) with n-BuLi at -78 C, the 3-lithio compound was condensed with N-methyl-D-proline methyl ester (VII) to give the indolyl ketone (VIII). The ketone function of (VIII) was finally reduced employing LiAlH4 in boiling THF.

合成路线图解说明:

Silylation of 4-benzyloxyindole (I) employing tert-butyldimethylsilyl chloride and NaH gave the N-silyl derivative (II), which was brominated with N-bromosuccinimide at -78 C to afford the 3-bromoindole (III). After lithium-bromine exchange with n-BuLi at -78 C, the 3-lithio compound was condensed with N-methyl-D-proline methyl ester (IV) to give the indolyl ketone (V). The ketone function of (V) was finally reduced employing LiAlH4 in boiling dioxan, with concomitant cleavage of the benzyl ether to furnish the title compound.

参考文献No.555963
标题:Synthesis and serotonergic pharmacology of the enantiomers of 3-[(N-methylpyrrolidin-2-yl)methyl]-5-methoxy-1H-indole: Discovery of stereogenic differentiation in the aminoethyl side chain of the neurotransmitter serotonin
作者:Macor, J.E.; Blake, J.; Fox, C.B.; Johnson, C.; Koe, B.K.; Lebel, L.A.; Morrone, J.M.; Ryan, K.; Schmidt, A.W.; Schulz, D.W.; et al.
来源:J Med Chem 1992,35(23),4503
合成路线图解说明:

The title compound has been prepared by two related procedures. Treatment of N-carbobenzoxy-D-proline (I) with oxalyl chloride provided the corresponding acid chloride (II). This was condensed with 5-methoxyindolyl magnesium bromide, generated from 5-methoxyindole (III) and ethylmagnesium bromide, to afford the indolyl ketone (IV). Reduction of both keto and carbamate groups of (IV) by means of LiAlH4 in refluxing THF then furnished the target compound.

Drug Information Express,Drug R&D,Chemical Database,Patent Search.
Copyright © 2006-2026 Drug Future. All rights reserved.Contact Us