【药物名称】E-1101
化学结构式(Chemical Structure):
参考文献No.17727
标题:7-Acyl-3-(substd. carbamoyloxy)cephem cpds., use thereof and process for their preparation
作者:Negi, S.; Yamanaka, M.; Katsu, K.; Sugiyama, I.; Komatu, Y.; Kamata, A.; Tsuruoka, A.; Machida, Y. (Eisai Co., Ltd.)
来源:EP 0484966; EP 0761671; JP 1992178392; JP 1992282388; JP 1993311173; JP 1993311174; JP 1994092969; JP 1998067784; US 5559225; US 5587473; US 5604217
合成路线图解说明:

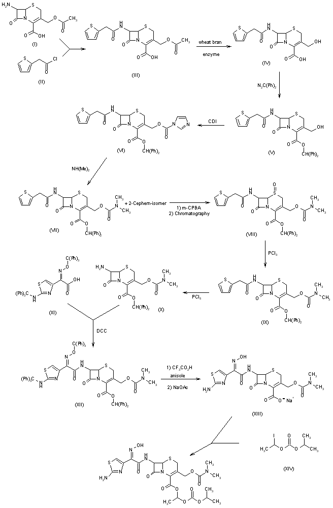
1) The acylation of 7-aminocephalosporanic acid (I) with 2-thienylacetyl chloride (II) gives the acylated compound (III), which is treated with wheat bran enzyme to obtain 3-(hydroxymethyl)-7-(2-thienylacetamido)-3-cephem-4-carboxylic acid (IV). The esterification of (IV) with diphenyldiazomethane affords the corresponding diphenylmethyl ester (V), which is treated with carbonyldiimidazole (CDI) in THF to yield the imidazolecarbonyl ester (VI). The reaction of (VI) with dimethylamine in ethyl acetate/water gives the dimethylcarbamoyl derivative (VII) as a mixture of the 3- and 2-cephem derivatives, which is oxidized with m-chloroperbenzoic acid to the corresponding S-oxides and separated by column chromatography to give pure 3-cephem derivative (VIII). Elimination of the oxide group of (VIII) with PCl3 in DMF affords 3-(dimethylcarbamoyloxymethyl)-7-(2-thienylacetamido)-3-cephem-4-carboxylic acid diphenyl ester (IX), which is treated with PCl5 and pyridine to obtain compound (X) with a free amino group. The acylation of (X) with 2-[2-(tritylamino)thiazol-4-yl]-2(Z)-(trityloxyimino)acetic acid (XI) by means of dicyclohexylcarbodiimide (DCC) gives the fully protected cephem derivative (XII), which is deprotected with trifluoroacetic acid and anisole to yield 7-[2-(2-aminothiazol-4-yl)-2(Z)-(hydroxyimino)acetamido]-3-(N,N-dimethylcarbamoyloxymethyl)-3-cephem-4-carboxylic acid sodium salt (XIII). Finally, this compound is esterified with 1-(isopropoxycarbonyloxy)ethyl iodide (XIV) in DMF.

合成路线图解说明:

2) The condensation of 7-(formamido)-3-(hydroxymethyl)-3-cephem-4-carboxylic acid diphenylmethyl ester (XV) with trichloromethyl chloroformate and dimethylamine in THF gives the corresponding dimethylcarbamoyloxy derivative (XVI), which is hydrolyzed with trifluoroacetic acid and anisole to the corresponding acid (as Na salt) (XVII). The esterification of (XVII) with 1-(isopropoxycarbonyloxy)ethyl iodide (XIV) in DMF as before affords the corresponding ester (XVIII), which is deformylated with HCl in methanol/THF to the 7-amino derivative (XIX). The acylation of (XIX) with 4-bromo-3-oxobutyryl bromide (XX) (obtained from diketene (XXI) with Br2) by means of bis(trimethylsilyl)acetamide in dichloromethane affords the 7-(4-bromo-3-oxobutyramido)-derivative (XXII), which is treated with NaNO2 and acetic acid to obtain the hydroxyimino compound (XXIII). Finally, this compound is cyclized with thiourea in dimethylacetamide. 3) The 7-amino cephem derivative (XIX) can also be acylated with 4-chloro-3-oxobutyryl chloride (XXV) (obtained from diketene (XXI) with Cl2) to yield the 7-(4-chloro-3-oxobutyramido)-derivative (XXVI), which is treated with amyl nitrite and acetyl chloride to afford the hydroxyimino compound (XXVII). Finally, this compound is cyclized with thiourea as before.

参考文献No.233330
标题:E1101, a new oral cephalosporin: I. Synthesis and structure-activity relations of 3-substituted carbamoyloxymethyl cephems
作者:Negi, S.; Yamanaka, M.; Sugiyama, I.; et al.
来源:33rd Intersci Conf Antimicrob Agents Chemother (Oct 17-20, New Orleans) 1993,Abst 894
合成路线图解说明:

1) The acylation of 7-aminocephalosporanic acid (I) with 2-thienylacetyl chloride (II) gives the acylated compound (III), which is treated with wheat bran enzyme to obtain 3-(hydroxymethyl)-7-(2-thienylacetamido)-3-cephem-4-carboxylic acid (IV). The esterification of (IV) with diphenyldiazomethane affords the corresponding diphenylmethyl ester (V), which is treated with carbonyldiimidazole (CDI) in THF to yield the imidazolecarbonyl ester (VI). The reaction of (VI) with dimethylamine in ethyl acetate/water gives the dimethylcarbamoyl derivative (VII) as a mixture of the 3- and 2-cephem derivatives, which is oxidized with m-chloroperbenzoic acid to the corresponding S-oxides and separated by column chromatography to give pure 3-cephem derivative (VIII). Elimination of the oxide group of (VIII) with PCl3 in DMF affords 3-(dimethylcarbamoyloxymethyl)-7-(2-thienylacetamido)-3-cephem-4-carboxylic acid diphenyl ester (IX), which is treated with PCl5 and pyridine to obtain compound (X) with a free amino group. The acylation of (X) with 2-[2-(tritylamino)thiazol-4-yl]-2(Z)-(trityloxyimino)acetic acid (XI) by means of dicyclohexylcarbodiimide (DCC) gives the fully protected cephem derivative (XII), which is deprotected with trifluoroacetic acid and anisole to yield 7-[2-(2-aminothiazol-4-yl)-2(Z)-(hydroxyimino)acetamido]-3-(N,N-dimethylcarbamoyloxymethyl)-3-cephem-4-carboxylic acid sodium salt (XIII). Finally, this compound is esterified with 1-(isopropoxycarbonyloxy)ethyl iodide (XIV) in DMF.

合成路线图解说明:

2) The condensation of 7-(formamido)-3-(hydroxymethyl)-3-cephem-4-carboxylic acid diphenylmethyl ester (XV) with trichloromethyl chloroformate and dimethylamine in THF gives the corresponding dimethylcarbamoyloxy derivative (XVI), which is hydrolyzed with trifluoroacetic acid and anisole to the corresponding acid (as Na salt) (XVII). The esterification of (XVII) with 1-(isopropoxycarbonyloxy)ethyl iodide (XIV) in DMF as before affords the corresponding ester (XVIII), which is deformylated with HCl in methanol/THF to the 7-amino derivative (XIX). The acylation of (XIX) with 4-bromo-3-oxobutyryl bromide (XX) (obtained from diketene (XXI) with Br2) by means of bis(trimethylsilyl)acetamide in dichloromethane affords the 7-(4-bromo-3-oxobutyramido)-derivative (XXII), which is treated with NaNO2 and acetic acid to obtain the hydroxyimino compound (XXIII). Finally, this compound is cyclized with thiourea in dimethylacetamide. 3) The 7-amino cephem derivative (XIX) can also be acylated with 4-chloro-3-oxobutyryl chloride (XXV) (obtained from diketene (XXI) with Cl2) to yield the 7-(4-chloro-3-oxobutyramido)-derivative (XXVI), which is treated with amyl nitrite and acetyl chloride to afford the hydroxyimino compound (XXVII). Finally, this compound is cyclized with thiourea as before.

参考文献No.284695
标题:Studies on orally active cephalosporins. I. Synthesis and structure-activity relationships of new 3-substituted carbamoyloxymethyl cephalosporins
作者:Negi, S.; Yamanaka, M.; Sugiyama, I.; Komatsu, Y.; Sasho, M.; Tsuruoka, A.; Kamada, A.; Tsukada, I.; Hiruma, R.; Katsu, K.; et al.
来源:J Antibiot 1994,47(12),1507-25
合成路线图解说明:

1) The acylation of 7-aminocephalosporanic acid (I) with 2-thienylacetyl chloride (II) gives the acylated compound (III), which is treated with wheat bran enzyme to obtain 3-(hydroxymethyl)-7-(2-thienylacetamido)-3-cephem-4-carboxylic acid (IV). The esterification of (IV) with diphenyldiazomethane affords the corresponding diphenylmethyl ester (V), which is treated with carbonyldiimidazole (CDI) in THF to yield the imidazolecarbonyl ester (VI). The reaction of (VI) with dimethylamine in ethyl acetate/water gives the dimethylcarbamoyl derivative (VII) as a mixture of the 3- and 2-cephem derivatives, which is oxidized with m-chloroperbenzoic acid to the corresponding S-oxides and separated by column chromatography to give pure 3-cephem derivative (VIII). Elimination of the oxide group of (VIII) with PCl3 in DMF affords 3-(dimethylcarbamoyloxymethyl)-7-(2-thienylacetamido)-3-cephem-4-carboxylic acid diphenyl ester (IX), which is treated with PCl5 and pyridine to obtain compound (X) with a free amino group. The acylation of (X) with 2-[2-(tritylamino)thiazol-4-yl]-2(Z)-(trityloxyimino)acetic acid (XI) by means of dicyclohexylcarbodiimide (DCC) gives the fully protected cephem derivative (XII), which is deprotected with trifluoroacetic acid and anisole to yield 7-[2-(2-aminothiazol-4-yl)-2(Z)-(hydroxyimino)acetamido]-3-(N,N-dimethylcarbamoyloxymethyl)-3-cephem-4-carboxylic acid sodium salt (XIII). Finally, this compound is esterified with 1-(isopropoxycarbonyloxy)ethyl iodide (XIV) in DMF.

合成路线图解说明:

2) The condensation of 7-(formamido)-3-(hydroxymethyl)-3-cephem-4-carboxylic acid diphenylmethyl ester (XV) with trichloromethyl chloroformate and dimethylamine in THF gives the corresponding dimethylcarbamoyloxy derivative (XVI), which is hydrolyzed with trifluoroacetic acid and anisole to the corresponding acid (as Na salt) (XVII). The esterification of (XVII) with 1-(isopropoxycarbonyloxy)ethyl iodide (XIV) in DMF as before affords the corresponding ester (XVIII), which is deformylated with HCl in methanol/THF to the 7-amino derivative (XIX). The acylation of (XIX) with 4-bromo-3-oxobutyryl bromide (XX) (obtained from diketene (XXI) with Br2) by means of bis(trimethylsilyl)acetamide in dichloromethane affords the 7-(4-bromo-3-oxobutyramido)-derivative (XXII), which is treated with NaNO2 and acetic acid to obtain the hydroxyimino compound (XXIII). Finally, this compound is cyclized with thiourea in dimethylacetamide. 3) The 7-amino cephem derivative (XIX) can also be acylated with 4-chloro-3-oxobutyryl chloride (XXV) (obtained from diketene (XXI) with Cl2) to yield the 7-(4-chloro-3-oxobutyramido)-derivative (XXVI), which is treated with amyl nitrite and acetyl chloride to afford the hydroxyimino compound (XXVII). Finally, this compound is cyclized with thiourea as before.

参考文献No.309000
标题:E-1101
作者:Fromtling, R.A.; Casta馿r, J.
来源:Drugs Fut 1995,20(8),766
合成路线图解说明:

1) The acylation of 7-aminocephalosporanic acid (I) with 2-thienylacetyl chloride (II) gives the acylated compound (III), which is treated with wheat bran enzyme to obtain 3-(hydroxymethyl)-7-(2-thienylacetamido)-3-cephem-4-carboxylic acid (IV). The esterification of (IV) with diphenyldiazomethane affords the corresponding diphenylmethyl ester (V), which is treated with carbonyldiimidazole (CDI) in THF to yield the imidazolecarbonyl ester (VI). The reaction of (VI) with dimethylamine in ethyl acetate/water gives the dimethylcarbamoyl derivative (VII) as a mixture of the 3- and 2-cephem derivatives, which is oxidized with m-chloroperbenzoic acid to the corresponding S-oxides and separated by column chromatography to give pure 3-cephem derivative (VIII). Elimination of the oxide group of (VIII) with PCl3 in DMF affords 3-(dimethylcarbamoyloxymethyl)-7-(2-thienylacetamido)-3-cephem-4-carboxylic acid diphenyl ester (IX), which is treated with PCl5 and pyridine to obtain compound (X) with a free amino group. The acylation of (X) with 2-[2-(tritylamino)thiazol-4-yl]-2(Z)-(trityloxyimino)acetic acid (XI) by means of dicyclohexylcarbodiimide (DCC) gives the fully protected cephem derivative (XII), which is deprotected with trifluoroacetic acid and anisole to yield 7-[2-(2-aminothiazol-4-yl)-2(Z)-(hydroxyimino)acetamido]-3-(N,N-dimethylcarbamoyloxymethyl)-3-cephem-4-carboxylic acid sodium salt (XIII). Finally, this compound is esterified with 1-(isopropoxycarbonyloxy)ethyl iodide (XIV) in DMF.

合成路线图解说明:

2) The condensation of 7-(formamido)-3-(hydroxymethyl)-3-cephem-4-carboxylic acid diphenylmethyl ester (XV) with trichloromethyl chloroformate and dimethylamine in THF gives the corresponding dimethylcarbamoyloxy derivative (XVI), which is hydrolyzed with trifluoroacetic acid and anisole to the corresponding acid (as Na salt) (XVII). The esterification of (XVII) with 1-(isopropoxycarbonyloxy)ethyl iodide (XIV) in DMF as before affords the corresponding ester (XVIII), which is deformylated with HCl in methanol/THF to the 7-amino derivative (XIX). The acylation of (XIX) with 4-bromo-3-oxobutyryl bromide (XX) (obtained from diketene (XXI) with Br2) by means of bis(trimethylsilyl)acetamide in dichloromethane affords the 7-(4-bromo-3-oxobutyramido)-derivative (XXII), which is treated with NaNO2 and acetic acid to obtain the hydroxyimino compound (XXIII). Finally, this compound is cyclized with thiourea in dimethylacetamide. 3) The 7-amino cephem derivative (XIX) can also be acylated with 4-chloro-3-oxobutyryl chloride (XXV) (obtained from diketene (XXI) with Cl2) to yield the 7-(4-chloro-3-oxobutyramido)-derivative (XXVI), which is treated with amyl nitrite and acetyl chloride to afford the hydroxyimino compound (XXVII). Finally, this compound is cyclized with thiourea as before.

参考文献No.343081
标题:Synthesis of a radiolabelled new oral cephalosporin, E1101
作者:Uemura, Y.; Komatsu, Y.; Negi, S.; Tsuruoka, A.
来源:J Label Compd Radiopharm 1996,38(1),1
合成路线图解说明:

The synthesis of [14C]-labeled E-1101 has been reported: (6R,7R)-7-Amino-3-(N,N-dimethylcarbamoyloxymethyl)-3-cephem-4-carboxyli c acid 1-(isopropoxycarbonyloxy)ethyl ester (I) is a diastereomeric mixture (Ia and Ib) due to the asymmetric carbon in the ester group. These isomers are separated by crystallization in THF and submitted separately to the following reaction sequence: The reaction of (Ia) and (Ib) with diketene (II) and Br2 gives the 4-bromo-3-oxobutyrylamides (IIIa and IIIb), which by oxidation with acetyl chloride and butylnitrite in dichloromethane yield the hydroxyimino derivatives (IVa and IVb). The cyclization of (IVa) and (IVb) with [14C]-labeled thiourea (V) in dimethylacetamide affords the two labeled diastereomeric E-1101 compounds (VIa and VIb), which are finally mixed equimolecularly to obtain the labeled E-1101 racemic at the ester group.

Drug Information Express,Drug R&D,Chemical Database,Patent Search.
Copyright © 2006-2026 Drug Future. All rights reserved.Contact Us