【药物名称】AS-5370(undefined isomer), AS-5820, DAT-582
化学结构式(Chemical Structure):
参考文献No.12204
标题:Indazole-3-carboxylic acid derivs.
作者:Kon, T.; Kato, S.; Morie, T.; Karasawa, T.; Yoshida, N. (Dainippon Pharmaceutical Co., Ltd.)
来源:EP 0358903; JP 1990256670; JP 1993092959; US 5017573
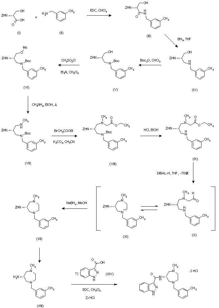
合成路线图解说明:

Condensation of N-benzyloxycarbonyl-D-serine (I) with 3-methylbenzylamine (II) in the presence of 1-ethyl-3-[3-(dimethylamino)propyl]carbodiimide.HCl (EDC) afforded amide (III). Reduction of this amide with borane gave amine (IV), which was then protected as the tert-butyl carbamate (V) with Boc2O. Subsequent treatment of (V) with methanesulfonyl chloride produced the corresponding mesylate (VI) which, without purification, was treated with methylamine in refluxing EtOH to provide triamine (VII). Alkylation of (VII) with methyl bromoacetate gave aminoacetate (VIII), and then, the tert-butoxycarbonyl protecting group was removed using HCl in EtOH. The resulting (IX) was treated with diisobutyl aluminum hydride in THF at -70 C to give aldehyde (X), and further reduction with NaBH4 of iminium salt (XI), derived from aldehyde (X), provided the optically active diazepine (XII). Deprotection of the benzyloxycarbonyl group, followed by coupling of the resulting amine (XIII) with indazole-3-carboxylic acid (XIV) in the presence of EDC gave the target amide, which was then converted to the dihydrochloride.

参考文献No.474461
标题:Efficient synthesis of (R)-6-benzyloxycarbonylamino-1-methyl-4-(3-methylbenzyl)hexahydro-1,4-diazepine. I
作者:Harada, H.; et al.
来源:Chem Pharm Bull 1998,46(7),1160
合成路线图解说明:

Condensation of N-benzyloxycarbonyl-D-serine (I) with 3-methylbenzylamine (II) in the presence of 1-ethyl-3-[3-(dimethylamino)propyl]carbodiimide.HCl (EDC) afforded amide (III). Reduction of this amide with borane gave amine (IV), which was then protected as the tert-butyl carbamate (V) with Boc2O. Subsequent treatment of (V) with methanesulfonyl chloride produced the corresponding mesylate (VI) which, without purification, was treated with methylamine in refluxing EtOH to provide triamine (VII). Alkylation of (VII) with methyl bromoacetate gave aminoacetate (VIII), and then, the tert-butoxycarbonyl protecting group was removed using HCl in EtOH. The resulting (IX) was treated with diisobutyl aluminum hydride in THF at -70 C to give aldehyde (X), and further reduction with NaBH4 of iminium salt (XI), derived from aldehyde (X), provided the optically active diazepine (XII). Deprotection of the benzyloxycarbonyl group, followed by coupling of the resulting amine (XIII) with indazole-3-carboxylic acid (XIV) in the presence of EDC gave the target amide, which was then converted to the dihydrochloride.

Drug Information Express,Drug R&D,Chemical Database,Patent Search.
Copyright © 2006-2026 Drug Future. All rights reserved.Contact Us