【药物名称】Indium In 111 pentetreotide, 111In-Pentetreotide, 111In-DTPA-octreotide, MP-1727, DTPA-SMS(noncomplexed), SDZ-215811s(noncomplexed), SDZ-215-811(noncomplexed), Somatother, OctreoScan
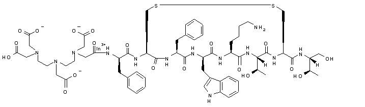
化学结构式(Chemical Structure):
参考文献No.292062
标题:[111In-DTPA-D-Phe1]-octreotide, a potential radiopharmaceutical for imaging of somatostatin receptor-positive tumors: Synthesis, radiolabeling and in vitro validation
作者:Bakker, W.H.; Albert, R.; Bruns, C.; Breeman, W.A.; Hofland, L.J.; Marbach, P.; Pless, J.; Pralet, D.; Stolz, B.; Koper, J.W.; et al.
来源:Life Sci 1991,49(22),1583
合成路线图解说明:

The selective protection of D-Phe1-octreotide peptide (I) with Boc2O gives the monoprotected peptide (II), which is condensed with diethylenetriaminopentaacetic acid (DTPA) dianhydride (III) by means of NaHCO3 in dioxane/water to yield the adduct (IV). The treatment of (IV) with TFA affords the desired DTPA-octreotide derivative (V), which is finally labeled with 111InCl3 in acetic acid or in ammonium citrate to afford the target indium derivative. The starting D-Phe1-octreotide peptide (I) has been obtained by the conventional methods of peptide synthesis using a peptide synthesizer.

参考文献No.698377
标题:Generally applicable, convenient solid-phase synthesis and receptor affinities of octreotide analogs
作者:Edwards, W.B.; Fields, C.G.; Anderson, C.J.; Pajeau, T.S.; Welch, M.J.; Fields, G.B.
来源:J Med Chem 1994,37(22),3749
合成路线图解说明:

The selective protection of D-Phe1-octreotide peptide (I) with Boc2O gives the monoprotected peptide (II), which is condensed with diethylenetriaminopentaacetic acid (DTPA) dianhydride (III) by means of NaHCO3 in dioxane/water to yield the adduct (IV). The treatment of (IV) with TFA affords the desired DTPA-octreotide derivative (V), which is finally labeled with 111InCl3 in acetic acid or in ammonium citrate to afford the target indium derivative. The starting D-Phe1-octreotide peptide (I) has been obtained by the conventional methods of peptide synthesis using a peptide synthesizer.

参考文献No.698520
标题:Direct solid phase synthesis of biologically active peptide alcohols
作者:Wu, Y.-T.; et al.
来源:J Chin Chem Soc (Taipei) 1999,46(2),135
合成路线图解说明:

The selective protection of D-Phe1-octreotide peptide (I) with Boc2O gives the monoprotected peptide (II), which is condensed with diethylenetriaminopentaacetic acid (DTPA) dianhydride (III) by means of NaHCO3 in dioxane/water to yield the adduct (IV). The treatment of (IV) with TFA affords the desired DTPA-octreotide derivative (V), which is finally labeled with 111InCl3 in acetic acid or in ammonium citrate to afford the target indium derivative. The starting D-Phe1-octreotide peptide (I) has been obtained by the conventional methods of peptide synthesis using a peptide synthesizer.

参考文献No.698521
标题:Direct solid-phase synthesis of octreotide conjugates: Precursors for use as tumor-targeted radiopharmaceuticals
作者:Hsieh, H.P.; Wu, Y.T.; Chen, S.T.; Wang, K.T.
来源:Bioorg Med Chem 1999,7(9),1797
合成路线图解说明:

The selective protection of D-Phe1-octreotide peptide (I) with Boc2O gives the monoprotected peptide (II), which is condensed with diethylenetriaminopentaacetic acid (DTPA) dianhydride (III) by means of NaHCO3 in dioxane/water to yield the adduct (IV). The treatment of (IV) with TFA affords the desired DTPA-octreotide derivative (V), which is finally labeled with 111InCl3 in acetic acid or in ammonium citrate to afford the target indium derivative. The starting D-Phe1-octreotide peptide (I) has been obtained by the conventional methods of peptide synthesis using a peptide synthesizer.

参考文献No.698522
标题:Conventional and high-yield synthesis of DTPA-conjugated peptides: Application of a monoreactive DTPA to DTPA-D-Phe1-octreotide synthesis
作者:Arano, Y.; et al.
来源:Bioconjugate Chem 1997,8(3),442
合成路线图解说明:

The selective protection of D-Phe1-octreotide peptide (I) with Boc2O gives the monoprotected peptide (II), which is condensed with diethylenetriaminopentaacetic acid (DTPA) dianhydride (III) by means of NaHCO3 in dioxane/water to yield the adduct (IV). The treatment of (IV) with TFA affords the desired DTPA-octreotide derivative (V), which is finally labeled with 111InCl3 in acetic acid or in ammonium citrate to afford the target indium derivative. The starting D-Phe1-octreotide peptide (I) has been obtained by the conventional methods of peptide synthesis using a peptide synthesizer.

Drug Information Express,Drug R&D,Chemical Database,Patent Search.
Copyright © 2006-2026 Drug Future. All rights reserved.Contact Us