【药物名称】Remifentanil hydrochloride, GI-87084B, Ultiva
化学结构式(Chemical Structure):
参考文献No.13006
标题:N-Phenyl-N-(4-piperidinyl)amides useful as analgesics
作者:Feldman, P.L.; James, M.K.; Brackeen, M.F.; Johnson, M.R.; Leighton, H.J. (Glaxo Wellcome plc)
来源:EP 0383579; JP 1990300167; US 5019583
合成路线图解说明:

By condensation of 4-(N-phenylpropionamido)piperidine-4-carboxylic acid methyl ester (I) with acrylic acid methyl ester (II) in hot acetonitrile.

参考文献No.49615
标题:New methods for the syntheses of alfentanil, sufentanil and remifentanil
作者:Killgore, J.K.; Jacob, M. (Mallinckrodt Medical Inc.)
来源:WO 0140184
合成路线图解说明:

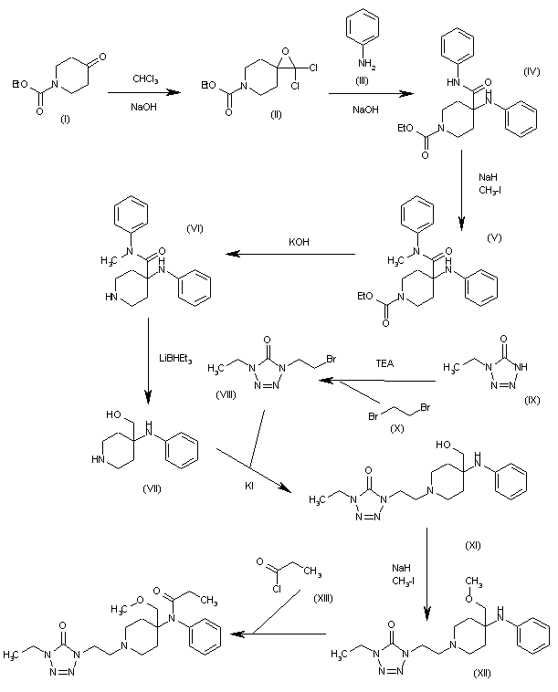
The reaction of 4-oxopiperidine-1-carboxylic acid ethyl ester (I) with CHCl3, benzyl triethylammonium chloride and NaOH in THF/water gives the spirooxirane (II), which is treated with aniline (III) and NaOH to yield the anilide (IV). The methylation of the amide nitrogen by means of NaH and CH3I in THF affords the methylated anilide (V). The reaction of (V) with KOH in refluxing isopropanol causes elimination of its ethoxycarbonyl group, providing compound (VI), which is reduced with lithium triethylborohydride in THF to give 4-(hydroxymethyl)-4-(phenylamino)piperidine (VII). The condensation of (VII) with tetrazolone derivative (VIII) by means of KI in refluxing acetonitrile (or propionitrile) yields the adduct (XI), which is methylated with NaH and CH3I in THF to afford the methoxy derivative (XII). Finally, this compound is acylated with propionyl chloride (XIII) in chloroform to provide the target compound. The intermediate tetrazolone derivative (VIII) has been obtained by reaction of 1-ethyl-4,5-dihydro-1H-tetrazol-5-one (IX) with 1,2-dibromoethane (X) by means of TEA in acetonitrile.

合成路线图解说明:

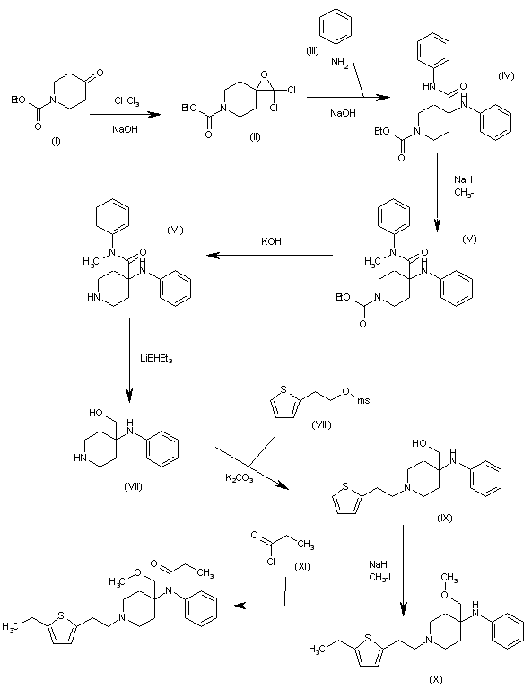
The reaction of 4-oxopiperidine-1-carboxylic acid ethyl ester (I) with CHCl3, benzyl triethylammonium chloride and NaOH in THF/water gives the spirooxirane (II), which is treated with aniline (III) and NaOH to yield the anilide (IV). The methylation of the amide nitrogen by means of NaH and CH3I in THF affords the methylated anilide (V). The reaction of (V) with KOH in refluxing isopropanol causes elimination of its ethoxycarbonyl group, providing compound (VI), which is reduced with lithium triethylborohydride in THF to give 4-(hydroxymethyl)-4-(phenylamino)piperidine (VII). The condensation of (VII) with 2-(2-thienyl)ethyl mesylate (VIII) by means of K2CO3 in refluxing acetonitrile yields the adduct (XI), which is methylated with NaH and CH3I in THF to afford the methoxy derivative (X). Finally, this compound is acylated with propionyl chloride (XI) in chloroform to provide the target compound.

合成路线图解说明:

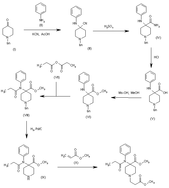
The reaction of 1-benzyl-4-piperidone (I) with aniline (II) and KCN in acetic acid gives the aminonitrile (III), which is treated with H2SO4 at room temperature to yield the carboxamide (IV). The hydrolysis of (IV) with refluxing aqueous HCl affords the carboxylic acid (V), which is esterified with Ms-OH and methanol to provide the methyl ester (VI). Acylation of the NH group of (VI) with propionic anhydride (VII) gives the propionamide (VIII), which is debenzylated with H2 over Pd/C to yield the piperidine (IX). Finally, this compound is condensed with methyl acrylate (XI) in acetonitrile to afford the target compound.

参考文献No.186587
标题:Design, synthesis, and pharmacological evaluation of ultrashort- to long-acting opioid analgetics
作者:Feldman, P.L.; James, M.K.; Brackeen, M.F.; Bilotta, J.M.; Schuster, S.V.; Lahey, A.P.; Lutz, M.W.; Johnson, M.R.; Leighton, H.J.
来源:J Med Chem 1991,34(7),2202-8
合成路线图解说明:

By condensation of 4-(N-phenylpropionamido)piperidine-4-carboxylic acid methyl ester (I) with acrylic acid methyl ester (II) in hot acetonitrile.

参考文献No.276772
标题:Remifentanil Hydrochloride
作者:Robinson, C.; Casta馿r, J.
来源:Drugs Fut 1994,19(12),1088
合成路线图解说明:

By condensation of 4-(N-phenylpropionamido)piperidine-4-carboxylic acid methyl ester (I) with acrylic acid methyl ester (II) in hot acetonitrile.

Drug Information Express,Drug R&D,Chemical Database,Patent Search.
Copyright © 2006-2026 Drug Future. All rights reserved.Contact Us