【药物名称】Eniluracil, GW-776, 5-EU, 776C85
化学结构式(Chemical Structure):
参考文献No.17031
标题:Enzyme inactivators
作者:Spector, T.; Porter, D.J.T.; Rahim, S.G. (Glaxo Wellcome plc)
来源:EP 0539442; EP 0711555; JP 1994502619; JP 2000297076; WO 9201452
合成路线图解说明:

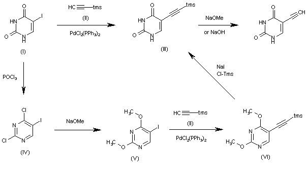
This compound has been obtained by two similar ways: 1. The reaction of 5-iodouracil (I) with trimethylsilylacetylene (II) by means of PdCl2(PPh3)2 and CuI2 in TEA/DMF gives 5-(trimethylsilylethynyl)uracil (III), which is then desilylated with sodium methoxide or NaOH in methanol. 2. The reaction of 5-iodouracil (I) with POCl3 at 120 C catalyzed by N,N-diethylaniline gives 2,4-dichloro-5-iodopyrimidine (IV), which by reaction with NaOMe in methanol is converted into 2,4-dimethoxy-5-iodopyrimidine (V). The condensation of (V) with trimethylsilylacetylene by means of PdCl2(PPh3)2 and CuI2 in TEA/DMF yields 2,4-dimethoxy-5-(trimethylsilylethynyl)pyrimidine (VI), which is treated with NaI and Tms-Cl in refluxing acetonitrile to afford 5-(trimethylsilylethynyl)uracil (III).

参考文献No.17572
标题:Uracil reductase inactivators
作者:Spector, T.; Porter, D.J.T.; Rahim, S.G. (Glaxo Wellcome plc)
来源:EP 0550580; JP 1994504263; JP 1998045623; WO 9204901
合成路线图解说明:

This compound has been obtained by two similar ways: 1. The reaction of 5-iodouracil (I) with trimethylsilylacetylene (II) by means of PdCl2(PPh3)2 and CuI2 in TEA/DMF gives 5-(trimethylsilylethynyl)uracil (III), which is then desilylated with sodium methoxide or NaOH in methanol. 2. The reaction of 5-iodouracil (I) with POCl3 at 120 C catalyzed by N,N-diethylaniline gives 2,4-dichloro-5-iodopyrimidine (IV), which by reaction with NaOMe in methanol is converted into 2,4-dimethoxy-5-iodopyrimidine (V). The condensation of (V) with trimethylsilylacetylene by means of PdCl2(PPh3)2 and CuI2 in TEA/DMF yields 2,4-dimethoxy-5-(trimethylsilylethynyl)pyrimidine (VI), which is treated with NaI and Tms-Cl in refluxing acetonitrile to afford 5-(trimethylsilylethynyl)uracil (III).

参考文献No.659646
标题:Process research and development of a dihydropyrimidine dehydrogenase inactivator: Large-scale preparation of eniluracil using a Sonogashira coupling
作者:Cooke, J.W.B.; et al.
来源:Org Process Res Dev 2001,5(4),383
合成路线图解说明:

This compound has been obtained by two similar ways: 1. The reaction of 5-iodouracil (I) with trimethylsilylacetylene (II) by means of PdCl2(PPh3)2 and CuI2 in TEA/DMF gives 5-(trimethylsilylethynyl)uracil (III), which is then desilylated with sodium methoxide or NaOH in methanol. 2. The reaction of 5-iodouracil (I) with POCl3 at 120 C catalyzed by N,N-diethylaniline gives 2,4-dichloro-5-iodopyrimidine (IV), which by reaction with NaOMe in methanol is converted into 2,4-dimethoxy-5-iodopyrimidine (V). The condensation of (V) with trimethylsilylacetylene by means of PdCl2(PPh3)2 and CuI2 in TEA/DMF yields 2,4-dimethoxy-5-(trimethylsilylethynyl)pyrimidine (VI), which is treated with NaI and Tms-Cl in refluxing acetonitrile to afford 5-(trimethylsilylethynyl)uracil (III).

Drug Information Express,Drug R&D,Chemical Database,Patent Search.
Copyright © 2006-2026 Drug Future. All rights reserved.Contact Us