【药物名称】Tetrofosmin [99m-Tc], Technetium (99mTc) tetrofosmin, PPN-1011, P-53(uncomplexed), Myoview
化学结构式(Chemical Structure):
参考文献No.19758
标题:New cores for technetium radiopharmaceuticals
作者:Archer, C.M.; Dilworth, J.R.; Jobanputra, P.; Latham, I.A.; Thompson, R.M. (Amersham plc)
来源:JP 2002060397; WO 9103262
合成路线图解说明:

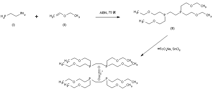
Tetrofosmin (III) was prepared by condensation of 1,2-diphosphinoethane (I) with ethyl vinyl ether (II) in the presence of AIBN. The title technetium complex was then prepared by treatment of a solution of sodium pertechnetate with a reducing agent in the presence of the bis-phosphine ligand (III).

参考文献No.19760
标题:Ligands and cationic complexes thereof with technetium-99m
作者:Kelly, J.D.; Chiu, K.W.; Latham, I.A. (Amersham plc)
来源:EP 0337654; JP 1997328495
合成路线图解说明:

Tetrofosmin (III) was prepared by condensation of 1,2-diphosphinoethane (I) with ethyl vinyl ether (II) in the presence of AIBN. The title technetium complex was then prepared by treatment of a solution of sodium pertechnetate with a reducing agent in the presence of the bis-phosphine ligand (III).

参考文献No.207459
标题:Technetium-99m-tetrofosmin as a new radiopharmaceutical for myocardial perfusion imaging
作者:Kelly, J.D.; Forster, A.M.; Higley, B.; Archer, C.M.; Booker, F.S.; Canning, L.R.; Chiu, K.W.; Edwards, B.; Gill, H.K.; McPartlin, M.; et al.
来源:J Nucl Med 1993,34(2),222
合成路线图解说明:

Tetrofosmin (III) was prepared by condensation of 1,2-diphosphinoethane (I) with ethyl vinyl ether (II) in the presence of AIBN. The title technetium complex was then prepared by treatment of a solution of sodium pertechnetate with a reducing agent in the presence of the bis-phosphine ligand (III).

Drug Information Express,Drug R&D,Chemical Database,Patent Search.
Copyright © 2006-2026 Drug Future. All rights reserved.Contact Us