【药物名称】9-Aminocamptothecin, IDEC-132, NSC-603071, NSC-629971((R, S)-isomer), 9-AC
化学结构式(Chemical Structure):
参考文献No.14878
标题:Camptothecin analogs as potent inhibitors of colorectal cancer
作者:Wall, M.E.; Wani, M. (Research Triangle Institute)
来源:EP 0497910; JP 1993508619; US 5106742; WO 9105556
合成路线图解说明:

9-Amino-20(RS)-camptothecin is obtained as follows: The cyclization of cyanoacetamide (I) with 2-ethoxy-4-oxo-2-pentenoic acid ethyl ester (II) by means of K2CO3 in hot DMF gives the intermediate pyridone (III), which without isolation is cyclized again with methyl acrylate (IV) in the same conditions affording the indolizinone (V). The treatment of (V) with concentrated HCl in refluxing acetic acid gives the indolizinedione (VI), which is treated with ethylene glycol and trimethylsilyl chloride in dichloromethane to yield the ethylene ketal (VII). The carboxylation of (VII) with diethyl carbonate and KH in refluxing toluene affords the acetic ester derivative (VIII), which is alkylated with ethyl iodide and potassium tert-butoxide in anhydrous DME to the corresponding butyric ester derivative (IX). The reductive acetylation of (IX) with H2 over RaNi in acetic anhydride gives the acetamide derivative (X), which is treated with NaNO2 in acetic acid to yield the corresponding N-nitroso compound (XI). Thermal degradation of (XI) in refluxing CCl4 affords the acetoxymethyl compound (XII), which is submitted to a oxidative cyclization with O2 in methanol/K2CO3 to give the tetracyclic ketal (XIII). Hydrolysis of the ketal group of (XIII) with 2N H2SO4 in hot DME yields the tricyclic triketone (XIV), which is further cyclized with 2-amino-6-nitrobenzaldehyde (XV) by heating at 160 C to afford 9-nitro-20(RS)-camptothecin (XVI). Finally, this compound is hydrogenated with H2 over Pd/C in ethanol. The title product can also be obtained by direct cyclization of tricyclic triketone (XIV) with 2,6-diaminobenzaldehyde (XVII) in the same conditions.

参考文献No.17254
标题:Synthesis of camptothecin and analogs thereof
作者:Wall, M.E.; Wani, M.C.; Nicholas, A.W.; Manikumar, G. (Research Triangle Institute)
来源:WO 9003169
合成路线图解说明:

9-Amino-20(RS)-camptothecin is obtained as follows: The cyclization of cyanoacetamide (I) with 2-ethoxy-4-oxo-2-pentenoic acid ethyl ester (II) by means of K2CO3 in hot DMF gives the intermediate pyridone (III), which without isolation is cyclized again with methyl acrylate (IV) in the same conditions affording the indolizinone (V). The treatment of (V) with concentrated HCl in refluxing acetic acid gives the indolizinedione (VI), which is treated with ethylene glycol and trimethylsilyl chloride in dichloromethane to yield the ethylene ketal (VII). The carboxylation of (VII) with diethyl carbonate and KH in refluxing toluene affords the acetic ester derivative (VIII), which is alkylated with ethyl iodide and potassium tert-butoxide in anhydrous DME to the corresponding butyric ester derivative (IX). The reductive acetylation of (IX) with H2 over RaNi in acetic anhydride gives the acetamide derivative (X), which is treated with NaNO2 in acetic acid to yield the corresponding N-nitroso compound (XI). Thermal degradation of (XI) in refluxing CCl4 affords the acetoxymethyl compound (XII), which is submitted to a oxidative cyclization with O2 in methanol/K2CO3 to give the tetracyclic ketal (XIII). Hydrolysis of the ketal group of (XIII) with 2N H2SO4 in hot DME yields the tricyclic triketone (XIV), which is further cyclized with 2-amino-6-nitrobenzaldehyde (XV) by heating at 160 C to afford 9-nitro-20(RS)-camptothecin (XVI). Finally, this compound is hydrogenated with H2 over Pd/C in ethanol. The title product can also be obtained by direct cyclization of tricyclic triketone (XIV) with 2,6-diaminobenzaldehyde (XVII) in the same conditions.

参考文献No.18277
标题:Camptothecin and analogues thereof and pharmaceutical compsns and method using them
作者:Wall, M.E.; Wani, M.C.; Nicholas, A.W.; Manikumar, G. (Res. Triangle Inst.)
来源:US 5122526
合成路线图解说明:

9-Amino-20(RS)-camptothecin is obtained as follows: The cyclization of cyanoacetamide (I) with 2-ethoxy-4-oxo-2-pentenoic acid ethyl ester (II) by means of K2CO3 in hot DMF gives the intermediate pyridone (III), which without isolation is cyclized again with methyl acrylate (IV) in the same conditions affording the indolizinone (V). The treatment of (V) with concentrated HCl in refluxing acetic acid gives the indolizinedione (VI), which is treated with ethylene glycol and trimethylsilyl chloride in dichloromethane to yield the ethylene ketal (VII). The carboxylation of (VII) with diethyl carbonate and KH in refluxing toluene affords the acetic ester derivative (VIII), which is alkylated with ethyl iodide and potassium tert-butoxide in anhydrous DME to the corresponding butyric ester derivative (IX). The reductive acetylation of (IX) with H2 over RaNi in acetic anhydride gives the acetamide derivative (X), which is treated with NaNO2 in acetic acid to yield the corresponding N-nitroso compound (XI). Thermal degradation of (XI) in refluxing CCl4 affords the acetoxymethyl compound (XII), which is submitted to a oxidative cyclization with O2 in methanol/K2CO3 to give the tetracyclic ketal (XIII). Hydrolysis of the ketal group of (XIII) with 2N H2SO4 in hot DME yields the tricyclic triketone (XIV), which is further cyclized with 2-amino-6-nitrobenzaldehyde (XV) by heating at 160 C to afford 9-nitro-20(RS)-camptothecin (XVI). Finally, this compound is hydrogenated with H2 over Pd/C in ethanol. The title product can also be obtained by direct cyclization of tricyclic triketone (XIV) with 2,6-diaminobenzaldehyde (XVII) in the same conditions.

参考文献No.182886
标题:Plant antitumor agents. 23. Synthesis and antileukemic activity of camptothecin analogues
作者:Wall, M.E.; Wani, M.C.; Nicholas, A.W.
来源:J Med Chem 1986,29(11),2358
合成路线图解说明:

9-Amino-20(S)-camptothecin is obtained by nitration of camptothecin (I) with fuming nitric acid in concentrated sulfuric acid yielding the intermediate 9-nitrocamptothecin (II), which is then reduced with H2 over PtO2 in absolute ethanol.

合成路线图解说明:

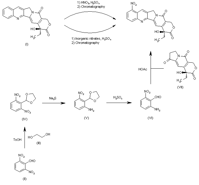
This compound can be obtained in two different ways: 1) By direct nitration of camptothecin (I) with nitric acid in sulfuric acid. 2) By direct nitration of camptothecin (I) with different inorganic nitrates (or mixtures of inorganic nitrates) in sulfuric acid. 3) The reaction of 2,6-dinitrobenzaldehyde (II) with ethylene glycol (III) and p-toluenesulfonic acid in refluxing toluene gives the corresponding ethylene ketal (IV), which is reduced with sodium sulfide in refluxing ehanol/water yielding 2-amino-6-nitrobenzaldehyde ethylene ketal (V). The hydrolysis of (V) with aqueous sulfuric acid affords 2-amino-6-nitrobenzaldehyde (VI), which is finally cyclized with the tricyclic ketone (VII) in refluxing acetic acid (the same cyclization can be performed with the ketal (V) and the ketone (VII).

参考文献No.373159
标题:9-Aminocamptothecin
作者:Robinson, C.; Robinson, K.; Casta馿r, J.
来源:Drugs Fut 1996,21(9),881
合成路线图解说明:

9-Amino-20(S)-camptothecin is obtained by nitration of camptothecin (I) with fuming nitric acid in concentrated sulfuric acid yielding the intermediate 9-nitrocamptothecin (II), which is then reduced with H2 over PtO2 in absolute ethanol.

参考文献No.608029
标题:A new high yield semisynthetic approach to (20S)-9-NH2-camptothecin based on a sequence of palladium-catalysed reductions
作者:Cabri, W.; et al.
来源:Tetrahedron Lett 1995,36(50),9197
合成路线图解说明:

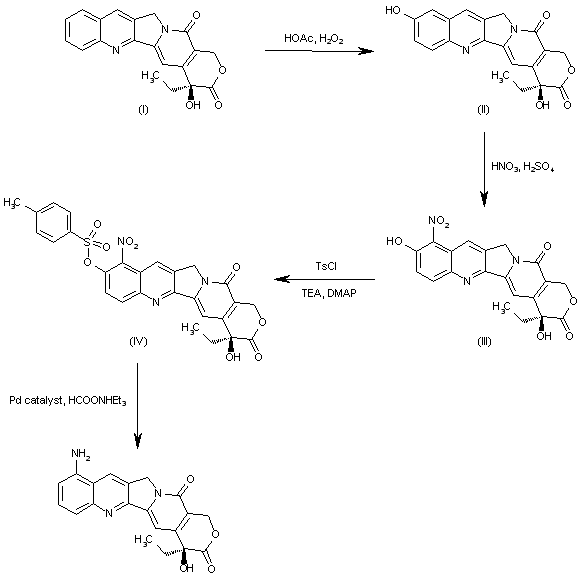
The hydroxylation of camptothecin (I) with H2O2 in HOAc gives 10-hydroxycamptothecin (II), which is nitrated with HNO3/H2SO4 to yield 10-hydroxy-9-nitrocamptothecin (III). The sulfonation of (III) with TsCl, DEA and DMAP affords 9-nitro-10-p-toluenesulfonyloxy)camptothecin (IV), which is finally desulfonated and reduced by means of ammonium formate and a Pd(OAc)3/bidentate phosphine ligand catalyst. Other sulfonates such as 1-naphthyl-, phenyl-, 4-fluorophenyl-, 4-nitrophenyl-, 4-methoxyphenyl- or methylsulfonate can be used instead of the reported p-toluenesulfonate.

合成路线图解说明:

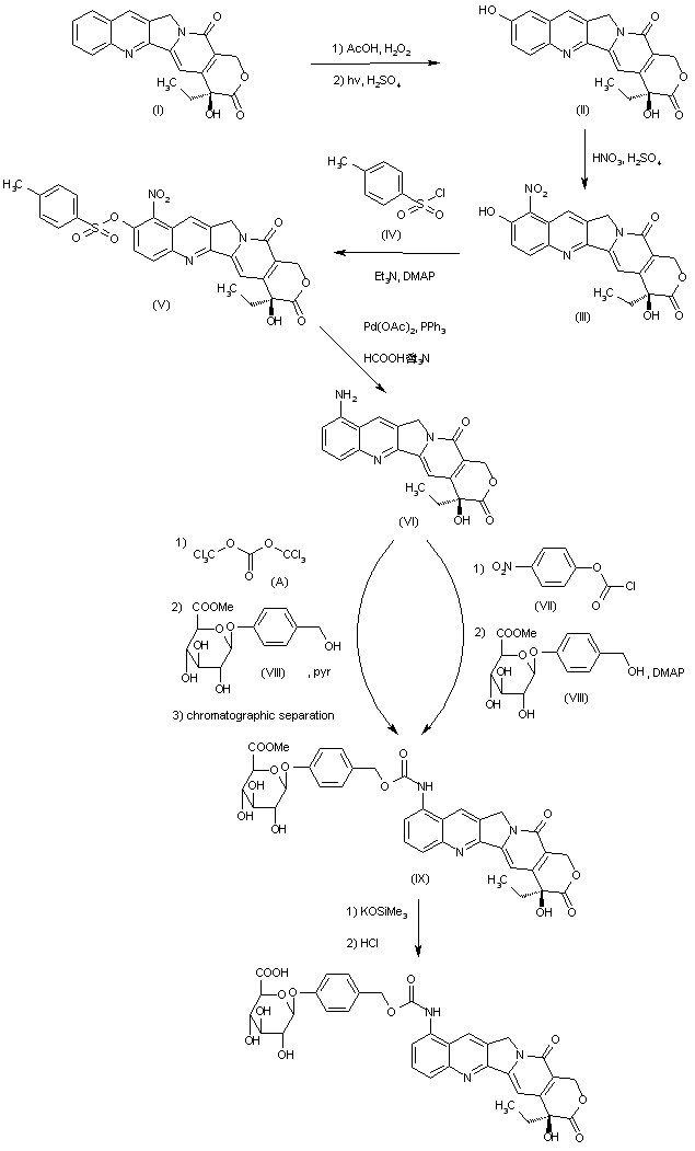
Treatment of (20S)-camptothecin (I) with HOAc and H2O2 followed by light irradiation in H2SO4 yields hydroxy derivative (II), which is then nitrated by means of HNO3 and H2SO4 to afford compound (III). Sulfonation of (III) by reaction with p-TsCl (IV) in the presence of Et3N and DMAP in CH2Cl2 provides sulfonate (V), which is then subjected to reduction by treatment with Pd(OAc)2, PPh3 and triethylammoniumformate (HCOOH稥t3N) to give 9-aminocamptothecin (VI). Reaction of (VI) with nitrophenyl chloroformate (VII) in dioxane, followed by treatment with intermediate (VIII) and DMAP in acetonitrile, provides (IX). Alternatively, (IX) can also be obtained by first treatment of (VI) with triphosgene followed by reaction with intermediate (VIII) in pyridine and chromatographic purification. Finally, (IX) is treated with potassium trimethyl silanate (KOSiMe3) for methyl ester cleavage and acidified with HCl.

参考文献No.801161
标题:Topoisomerase inhibitors. A review of their therapeutic potential in cancer
作者:Sinai, B.K.; Palmer, K.H.; McPhail, A.T.; Sim, G.A.
来源:Drugs 1995,4911-19
合成路线图解说明:

9-Amino-20(RS)-camptothecin is obtained as follows: The cyclization of cyanoacetamide (I) with 2-ethoxy-4-oxo-2-pentenoic acid ethyl ester (II) by means of K2CO3 in hot DMF gives the intermediate pyridone (III), which without isolation is cyclized again with methyl acrylate (IV) in the same conditions affording the indolizinone (V). The treatment of (V) with concentrated HCl in refluxing acetic acid gives the indolizinedione (VI), which is treated with ethylene glycol and trimethylsilyl chloride in dichloromethane to yield the ethylene ketal (VII). The carboxylation of (VII) with diethyl carbonate and KH in refluxing toluene affords the acetic ester derivative (VIII), which is alkylated with ethyl iodide and potassium tert-butoxide in anhydrous DME to the corresponding butyric ester derivative (IX). The reductive acetylation of (IX) with H2 over RaNi in acetic anhydride gives the acetamide derivative (X), which is treated with NaNO2 in acetic acid to yield the corresponding N-nitroso compound (XI). Thermal degradation of (XI) in refluxing CCl4 affords the acetoxymethyl compound (XII), which is submitted to a oxidative cyclization with O2 in methanol/K2CO3 to give the tetracyclic ketal (XIII). Hydrolysis of the ketal group of (XIII) with 2N H2SO4 in hot DME yields the tricyclic triketone (XIV), which is further cyclized with 2-amino-6-nitrobenzaldehyde (XV) by heating at 160 C to afford 9-nitro-20(RS)-camptothecin (XVI). Finally, this compound is hydrogenated with H2 over Pd/C in ethanol. The title product can also be obtained by direct cyclization of tricyclic triketone (XIV) with 2,6-diaminobenzaldehyde (XVII) in the same conditions.

Drug Information Express,Drug R&D,Chemical Database,Patent Search.
Copyright © 2006-2026 Drug Future. All rights reserved.Contact Us