【药物名称】Org-13011
化学结构式(Chemical Structure):
参考文献No.17532
标题:4-[4- or 6-(Trifluoromethyl-2-pyridinyl)]-1-piperazinyl-alkyl substd. lactams
作者:Carlier, P.; Combourieu, M.; Poisson, C.; Monteil, A.J.-C. (Akzo Nobel N.V.)
来源:EP 0482696; JP 1992282379; US 5180726
合成路线图解说明:

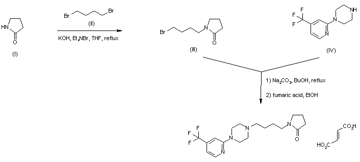
Alkylation of 2-pyrrolidinone (I) with 1,4-dibromobutane (II) in the presence of KOH and tetraethylammonium bromide gave the N-(4-bromobutyl)pyrrolidinone (III). This was condensed with 1-[4-(trifluoromethyl)-2-pyridinyl]piperazine (IV) in the presence of Na2CO3 to produce the target disubstituted piperazine, which was then converted to the corresponding fumarate salt.

Drug Information Express,Drug R&D,Chemical Database,Patent Search.
Copyright © 2006-2026 Drug Future. All rights reserved.Contact Us