【药物名称】Sildenafil citrate, UK-92480-10, UK-92480(free base), Penegra, Patrex, Wan Ai Ke, Viagra
化学结构式(Chemical Structure):
参考文献No.16605
标题:Pyrazolopyrimidinone antianginal agents
作者:Bell, A.S.; Brown, D.; Terrett, N.K. (Pfizer Inc.)
来源:EP 0463756; JP 1994041133; US 5250534; US 5346901
合成路线图解说明:

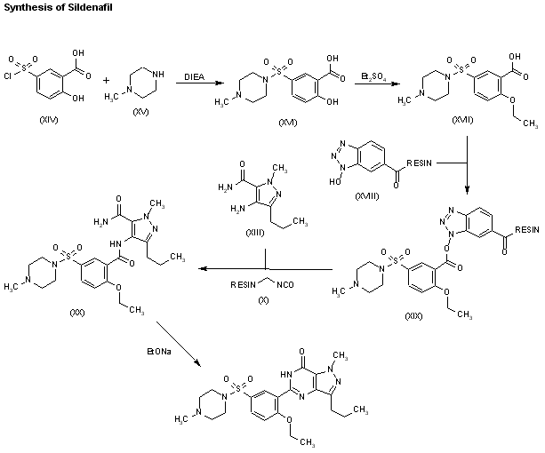
The methylation of 3-propylpyrazole-5-carboxylic acid ethyl ester (I) with hot dimethyl sulfate gives 1-methyl-3-propylpyrazole-5-carboxylic acid ethyl ester (II), which is hydrolyzed with aqueous NaOH to the corresponding free acid (III). The nitration of (III) with oleum/fuming nitric acid yields the 4-nitro derivative (IV), which is treated first with refluxing SOCl2 and then with NH4OH to afford the corresponding carboxamide (V). The reduction of the nitro group of (V) with SnCl2 dihydrate in refluxing ethanol gives 4-amino-1-methyl-3-propylpyrazole-5-carboxamide (VI), which is acylated with 2-ethoxybenzoyl chloride (VII) by means of triethylamine in dichloromethane yielding 4-(2-ethoxybenzamido)-1-methyl-3-propylpyrazole-5-carboxamide (VIII). The cyclization of (VIII) by means of NaOH and H2O2 in refluxing ethanol affords 5-(2-ethoxyphenyl)-1-methyl-3-propyl-6,7-dihydro-1H-pyrazolo[4,3-d] pyrimidin-7-one (IX), which is sulfonated with chlorosulfonic acid affording the chlorosulfonyl derivative (X). Finally, this compound is condensed with 1-methylpiperazine in ethanol at room temperature.

参考文献No.34997
标题:Process for preparing sildenafil
作者:Dunn, P.J.; Wood, A.S. (Pfizer Inc.)
来源:EP 0812845; JP 1998081688; JP 1999171879
合成路线图解说明:

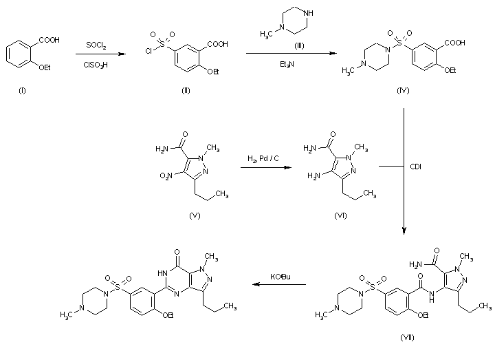
A more efficient process for preparing clinical-grade sildenafil has been described: The reaction of 2-ethoxybenzoic acid (I) with SOCl2 and ClSO3H gives 5-(chlorosulfonyl)-2-ethoxybenzoic acid (II), which is condensed with 1-methylpiperazine (III) by means of triethylamine in water yielding 2-ethoxy-5-(4-methylpiperazin-1-ylsulfonyl)benzoic acid (IV). The condensation of (IV) with 4-amino-1-methyl-3-propylpyrazole-5-carboxamide (V), obtained by reduction of the corresponding 4-nitro compound (VI) with H2 over Pd/C in ethyl acetate, by means of carbonyldiimidazole (CDI) in refluxing ethyl acetate affords the corresponding amide (VII), which is finally cyclized by means of potassium tert-butoxide in refluxing tert-butanol. Other cyclizing agents such as KOH, KHCO3, BaO, sodium ethoxide, sodium tert-butoxide, NaH, NaNH2, sodium decyloxide, sodium cyclohexylamide, sodium 4-methylpiperazide, Cs2CO3, magnesium ethoxide, barium ethoxide, cupric ethoxide, aluminum tert-butoxide, titanium ethoxide, lithium diisopropylamide, 1,8-diazabicyclo[5.4.0]undec-7-ene (DBU), KF or several Lewis acids, as well as other solvents such as methanol, ethanol, tert-amyl alcohol, 1-methylcyclohexanol, THF, 1,4-dioxan, 1,2-dimethoxyethane, 3,7-dimethyloctan-3-ol, DMSO, pyridine, acetonitrile, or methyl isobutyl ketone have also been used; the reaction temperature is normally 100 C.

参考文献No.375131
标题:Sildenafil (Viagra(TM)), a potent and selective inhibitor of type 5 cGMP phosphodiesterase with utility for the treatment of male erectile dysfunction
作者:Terrett, N.K.; Bell, A.S.; Brown, D.; Ellis, P.
来源:Bioorg Med Chem Lett 1996,6(15),1819-24
合成路线图解说明:

The methylation of 3-propylpyrazole-5-carboxylic acid ethyl ester (I) with hot dimethyl sulfate gives 1-methyl-3-propylpyrazole-5-carboxylic acid ethyl ester (II), which is hydrolyzed with aqueous NaOH to the corresponding free acid (III). The nitration of (III) with oleum/fuming nitric acid yields the 4-nitro derivative (IV), which is treated first with refluxing SOCl2 and then with NH4OH to afford the corresponding carboxamide (V). The reduction of the nitro group of (V) with SnCl2 dihydrate in refluxing ethanol gives 4-amino-1-methyl-3-propylpyrazole-5-carboxamide (VI), which is acylated with 2-ethoxybenzoyl chloride (VII) by means of triethylamine in dichloromethane yielding 4-(2-ethoxybenzamido)-1-methyl-3-propylpyrazole-5-carboxamide (VIII). The cyclization of (VIII) by means of NaOH and H2O2 in refluxing ethanol affords 5-(2-ethoxyphenyl)-1-methyl-3-propyl-6,7-dihydro-1H-pyrazolo[4,3-d] pyrimidin-7-one (IX), which is sulfonated with chlorosulfonic acid affording the chlorosulfonyl derivative (X). Finally, this compound is condensed with 1-methylpiperazine in ethanol at room temperature.

参考文献No.386136
标题:Sildenafil
作者:Martel, A.M.; Graul, A.; Rabasseda, X.; Casta馿r, R.M.
来源:Drugs Fut 1997,22(2),138
合成路线图解说明:

The methylation of 3-propylpyrazole-5-carboxylic acid ethyl ester (I) with hot dimethyl sulfate gives 1-methyl-3-propylpyrazole-5-carboxylic acid ethyl ester (II), which is hydrolyzed with aqueous NaOH to the corresponding free acid (III). The nitration of (III) with oleum/fuming nitric acid yields the 4-nitro derivative (IV), which is treated first with refluxing SOCl2 and then with NH4OH to afford the corresponding carboxamide (V). The reduction of the nitro group of (V) with SnCl2 dihydrate in refluxing ethanol gives 4-amino-1-methyl-3-propylpyrazole-5-carboxamide (VI), which is acylated with 2-ethoxybenzoyl chloride (VII) by means of triethylamine in dichloromethane yielding 4-(2-ethoxybenzamido)-1-methyl-3-propylpyrazole-5-carboxamide (VIII). The cyclization of (VIII) by means of NaOH and H2O2 in refluxing ethanol affords 5-(2-ethoxyphenyl)-1-methyl-3-propyl-6,7-dihydro-1H-pyrazolo[4,3-d] pyrimidin-7-one (IX), which is sulfonated with chlorosulfonic acid affording the chlorosulfonyl derivative (X). Finally, this compound is condensed with 1-methylpiperazine in ethanol at room temperature.

参考文献No.563706
标题:The chemical development of the commercial route to sildenafil: A case history
作者:Dale, D.J.; et al.
来源:Org Process Res Dev 2000,4(1),17
合成路线图解说明:

A more efficient process for preparing clinical-grade sildenafil has been described: The reaction of 2-ethoxybenzoic acid (I) with SOCl2 and ClSO3H gives 5-(chlorosulfonyl)-2-ethoxybenzoic acid (II), which is condensed with 1-methylpiperazine (III) by means of triethylamine in water yielding 2-ethoxy-5-(4-methylpiperazin-1-ylsulfonyl)benzoic acid (IV). The condensation of (IV) with 4-amino-1-methyl-3-propylpyrazole-5-carboxamide (V), obtained by reduction of the corresponding 4-nitro compound (VI) with H2 over Pd/C in ethyl acetate, by means of carbonyldiimidazole (CDI) in refluxing ethyl acetate affords the corresponding amide (VII), which is finally cyclized by means of potassium tert-butoxide in refluxing tert-butanol. Other cyclizing agents such as KOH, KHCO3, BaO, sodium ethoxide, sodium tert-butoxide, NaH, NaNH2, sodium decyloxide, sodium cyclohexylamide, sodium 4-methylpiperazide, Cs2CO3, magnesium ethoxide, barium ethoxide, cupric ethoxide, aluminum tert-butoxide, titanium ethoxide, lithium diisopropylamide, 1,8-diazabicyclo[5.4.0]undec-7-ene (DBU), KF or several Lewis acids, as well as other solvents such as methanol, ethanol, tert-amyl alcohol, 1-methylcyclohexanol, THF, 1,4-dioxan, 1,2-dimethoxyethane, 3,7-dimethyloctan-3-ol, DMSO, pyridine, acetonitrile, or methyl isobutyl ketone have also been used; the reaction temperature is normally 100 C.

参考文献No.591327
标题:Polymer-supported reagents for multi-step organic synthesis: Application to the synthesis of sildenafil
作者:Baxendale, I.R.; Ley, S.V.
来源:Bioorg Med Chem Lett 2000,10(17),1983
合成路线图解说明:

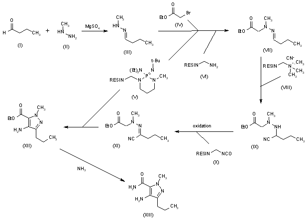
Synthesis of the aminopyrazole intermediate (XIII): The reaction of butanal (I) with methylhydrazine (II) in dichloromethane in the presence of MgSO4 gives the corresponding hydrazide (III), which is alkylated with ethyl bromoacetate (IV) by means of the polymer-supported base 2-(tert-butylimino)-2-(diethylamino)-1,3-dimethylperhydro-1,3,2-diazaphosphorine (PS-BEMP) (V) and polymer-supported methylamine (VI) to yield the hydrazino ester (VII). Treatment of compound (VII) with an ion exchange tetramethylammonium cyanide resin (VIII) in refluxing ethanol containing a catalytic amount of HOAc affords the adduct (IX), which is dehydrogenated with Pd/C/cyclopentene or MnO2 and treated with a polymer-supported ethyl isocyanate resin (X) in order to eliminate the unreacted product, providing the hydrazone (XI). Cyclization of (XI) by means of PS-BEMP (V) in ethanol gives 4-amino-1-methyl-3-propyl-1H-pyrazole-5-carboxylic acid ethyl ester (XII), which is finally treated with ammonia in methanol to afford the desired pyrazolecarboxamide intermediate (XIII).

合成路线图解说明:

Synthesis of sildenafil: Reaction of 5-(chlorosulfonyl)-2-hydroxybenzoic acid (XIV) with 1-methylpiperazine (XV) by means of DIEA gives the sulfonamide (XVI), which is treated with diethyl sulfate yielding 2-ethoxy-5-(4-methylpiperazin-1-ylsulfonyl)benzoic acid (XVII). The activation of (XVII) with a polymer-supported 1-hydroxybenzotriazole (HOBt) variant (XVIII) and bromotris(pyrrolidino)phosphonium (PyBrOP) as catalyst affords the activated ester (XIX), which is condensed with the aminopyrazole intermediate (XIII), and treated with the methyl isocyanate resin (X) in order to eliminate the excess of aminopyrazole (XIII), to provide the diamide (XX). Finally, the cyclization and dehydration to sildenafil are performed by microwave irradiation of an ethanolic solution of compound (XX) containig a catalytic amount of NaOEt.

Drug Information Express,Drug R&D,Chemical Database,Patent Search.
Copyright © 2006-2026 Drug Future. All rights reserved.Contact Us