【药物名称】BF-388
化学结构式(Chemical Structure):
参考文献No.183821
标题:BF-388
作者:Naismith, R.W.; Frierson, M.R. III, Wong, S.; Lee, S.J.
来源:Drugs Fut 1992,17(10),871
合成路线图解说明:

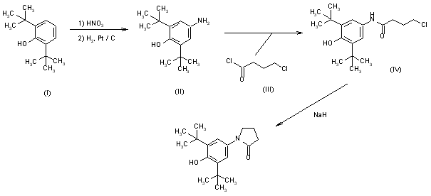
The 2,6-di-tert-butylphenol (I) was nitrated with nitric acid, followed by reduction with hydrogen using a platinum catalyst to afford 4-amino-2,6-di-tert-butylphenol (II). The reaction of (II) with 4-chlorobutyryl chloride (III) gave the intermediate 4-chlorobutyramide (IV), which on treatment with sodium hydride underwent cyclization to afford 1-(3,5-di-tert-butyl-4-hydroxyphenyl)pyrrolidin-2-one, BF-388.

Drug Information Express,Drug R&D,Chemical Database,Patent Search.
Copyright © 2006-2026 Drug Future. All rights reserved.Contact Us