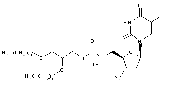
【药物名称】Fozivudine tidoxil, BM-21.1290
化学结构式(Chemical Structure):
参考文献No.17271
标题:New phospholipid derivs. of nucleosides, their preparation and their use as antiviral drugs
作者:Zilch, H.; Leinert, H.; Mertens, A.; Herrmann, D. (Roche Diagnostics GmbH)
来源:DE 4026265; EP 0545966; JP 1994500546; WO 9203462
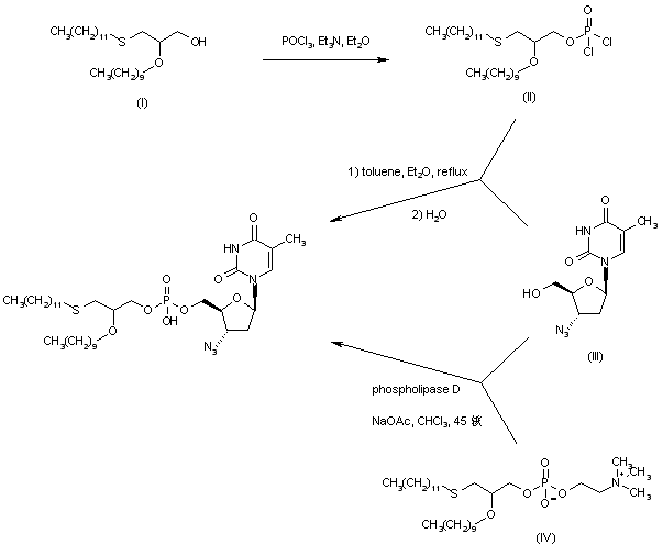
合成路线图解说明:

Treatment of 2-decyloxy-3-(dodecylmercapto)-1-propanol (I) with phosphorus oxychloride in the presence of Et3N gave the intermediate dichlorophosphate ester (II). This was subsequently condensed with 3'-deoxy-3'-azidothymidine (AZT) (III) to produce, after aqueous hydrolysis, the target phosphate diester. The title diester was alternatively obtained by the phospholipase D-catalyzed condensation of AZT (III) with the choline monophosphate ester (IV).

合成路线图解说明:

In a further procedure, the monophosphate ester of 3-dodecylmercapto-2-decyloxy-1-propanol (V) was directly condensed with AZT employing DCC as the coupling reagent. A related method involved previous activation of (V) as the mixed anhydride with benzenesulfonyl chloride or triisopropylbenzenesulfonyl chloride in the presence of pyridine.

参考文献No.55750
标题:Method of preparing unsymmetrical phosphoric acid diesters
作者:Zilch, H.; Kiegel, E. (Boehringer Ingelheim GmbH)
来源:WO 9520596
合成路线图解说明:

In a further procedure, the monophosphate ester of 3-dodecylmercapto-2-decyloxy-1-propanol (V) was directly condensed with AZT employing DCC as the coupling reagent. A related method involved previous activation of (V) as the mixed anhydride with benzenesulfonyl chloride or triisopropylbenzenesulfonyl chloride in the presence of pyridine.

Drug Information Express,Drug R&D,Chemical Database,Patent Search.
Copyright © 2006-2026 Drug Future. All rights reserved.Contact Us