【药物名称】Saredutant, SR-489686, SR-48965 (R-isomer), SR-48968
化学结构式(Chemical Structure):
参考文献No.17193
标题:Arylalkylamines, process for their preparation and pharmaceutical compsns. containing them
作者:Emonds-Alt, X.; Goulaouic, P.; Proietto, V.; Van Broeck, D. (Sanofi-Synth閘abo)
来源:EP 0474561; FR 2666335; FR 2678267; JP 1992261155; US 5236921; US 5350852
合成路线图解说明:

The intermediate piperidine (III) was prepared from 1-benzyl-4-hydroxy-4-phenylpiperidine (I) via conversion to acetamide (II) by means of a Ritter reaction with acetonitrile and H2SO4, followed by hydrogenolysis of the N-benzyl protecting group

合成路线图解说明:

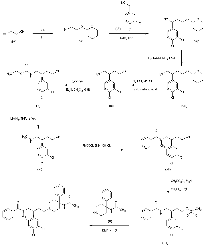
Alkylation of 3,4-dichlorophenylacetonitrile (VI) with (tetrahydropyranyloxy)ethyl bromide (V) (prepared by protection of 2-bromoethanol (IV) with dihydropyran) furnished nitrile (VII). Catalytic hydrogenation of (VII) in the presence of Raney-Ni and Et3N gave the primary amine (VIII). After acidic hydrolysis of the tetrahydropyranyl group of (VIII), the resultant amino alcohol was resolved by means of D-tartaric acid providing the (S)-enantiomer (IX). Reaction of amine (IX) with ethyl chloroformate afforded carbamate (X), which was further reduced to the N-methyl amine (XI) employing LiAlH4. Subsequent acylation of (XI) with benzoyl chloride furnished benzamide (XII). Mesylate (XIII) was then prepared by treatment of alcohol (XII) with methanesulfonyl chloride and triethylamine. Finally, condensation between piperidine (III) and mesylate (XIII) led to the title compound

参考文献No.56918
标题:Process of making chiral 2-aryl-1,4-butanediamine derivs.
作者:Finke, P.E.; Mills, S.G.; Hale, J.J.; MacCoss, M. (Merck & Co., Inc.)
来源:WO 9407839
合成路线图解说明:

The intermediate piperidine (III) was prepared from 1-benzyl-4-hydroxy-4-phenylpiperidine (I) via conversion to acetamide (II) by means of a Ritter reaction with acetonitrile and H2SO4, followed by hydrogenolysis of the N-benzyl protecting group

合成路线图解说明:

In a different procedure, 3,4-dichlorophenylacetic acid (XIV) was condensed with the lithiated chiral oxazolidinone (XV), via activation as the mixed anhydride with pivaloyl chloride, to afford the N-acyl oxazolidinone (XVI). Diastereoselective alkylation of the sodium enolate of (XVI) with allyl iodide (XVII) afforded the (S)-pentenyl oxazolidinone (XVIII), which was further hydrolyzed to the chiral acid (XIX) by means of lithium peroxide. Alternatively, acid (XIX) was obtained by alkylation of the lithium dianion of 3,4-dichlorophenylacetic acid (XIV) with allyl bromide (XX), followed by resolution of the resultant racemic acid (XXI) with (S)-1-phenylethylamine. Acid (XIX) was converted to the amide (XXII) via the corresponding acid chloride. Reduction of amide (XXII) with DIBAL gave the secondary amine (XXIII), which was subsequently acylated with benzoyl chloride, yielding benzamide (XXIV). Dihydroxylation of the olefin double bond with N-methylmorpholine-N-oxide in the presence of OsO4, followed by oxidative cleavage of the resultant diol (XXV) with sodium periodate furnished aldehyde (XXVI). Finally, reductive amination of aldehyde (XXVI) with piperidine (III) in the presence of NaBH3CN provided the title compound

参考文献No.56919
标题:Process for the preparation of the (-)-N-methyl-N-[4-(4-phenyl-4-acetyl-aminopiperidin-1-yl)-2-(3,4-dichlorophenyl)butyl]-benzamide and its pharmaceutically acceptable salts
作者:Descamps, M.; Radisson, J.; Anne-Archard, G. (Sanofi-Synth閘abo)
来源:EP 0698601
合成路线图解说明:

The intermediate piperidine (III) was prepared from 1-benzyl-4-hydroxy-4-phenylpiperidine (I) via conversion to acetamide (II) by means of a Ritter reaction with acetonitrile and H2SO4, followed by hydrogenolysis of the N-benzyl protecting group

合成路线图解说明:

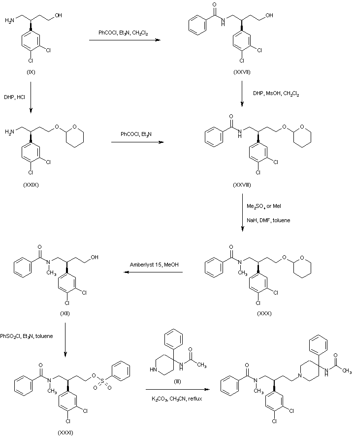
In a further method, the chiral amino alcohol (IX) was acylated with benzoyl chloride to afford the benzamide (XXVII). Subsequent protection of the hydroxyl group of (XXVII) with dihydropyran provided the tetrahydropyranyl ether (XXVIII). Alternatively, amino alcohol (IX) was initially protected as the tetrahydropyranyl derivative (XXIX), which was subsequently acylated with benzoyl chloride . N-Alkylation of amide (XXVIII) to give (XXX) was either performed with dimethyl sulfate or with methyl iodide in the presence of NaH. Subsequent deprotection of the tetrahydropyranyl ether (XXX) in acidic medium furnished alcohol (XII). This was converted to the sulfonate ester (XXXI) upon treatment with benzenesulfonyl chloride and Et3N. Alternatively, alcohol (XII) was converted to the corresponding mesylate as shown in Scheme 1 (5). Finally, condensation of the benzenesulfonate (XXXI) with piperidine (III) in the presence of K2CO3 in refluxing acetonitrile yielded the title compound

参考文献No.215967
标题:Pharmacological profile and chemical synthesis of SR 48968, a non-peptide antagonist of the neurokinin A (NK2) receptor
作者:Emonds-Alt, X.; Proietto, V.; Van Broeck, D.; Vilain, P.; Advenier, C.; Neliat, G.; Le Fur, G.; Breliere, J.-C.
来源:Bioorg Med Chem Lett 1993,3(5),925
合成路线图解说明:

The intermediate piperidine (III) was prepared from 1-benzyl-4-hydroxy-4-phenylpiperidine (I) via conversion to acetamide (II) by means of a Ritter reaction with acetonitrile and H2SO4, followed by hydrogenolysis of the N-benzyl protecting group

合成路线图解说明:

Alkylation of 3,4-dichlorophenylacetonitrile (VI) with (tetrahydropyranyloxy)ethyl bromide (V) (prepared by protection of 2-bromoethanol (IV) with dihydropyran) furnished nitrile (VII). Catalytic hydrogenation of (VII) in the presence of Raney-Ni and Et3N gave the primary amine (VIII). After acidic hydrolysis of the tetrahydropyranyl group of (VIII), the resultant amino alcohol was resolved by means of D-tartaric acid providing the (S)-enantiomer (IX). Reaction of amine (IX) with ethyl chloroformate afforded carbamate (X), which was further reduced to the N-methyl amine (XI) employing LiAlH4. Subsequent acylation of (XI) with benzoyl chloride furnished benzamide (XII). Mesylate (XIII) was then prepared by treatment of alcohol (XII) with methanesulfonyl chloride and triethylamine. Finally, condensation between piperidine (III) and mesylate (XIII) led to the title compound

合成路线图解说明:

In a further method, the chiral amino alcohol (IX) was acylated with benzoyl chloride to afford the benzamide (XXVII). Subsequent protection of the hydroxyl group of (XXVII) with dihydropyran provided the tetrahydropyranyl ether (XXVIII). Alternatively, amino alcohol (IX) was initially protected as the tetrahydropyranyl derivative (XXIX), which was subsequently acylated with benzoyl chloride . N-Alkylation of amide (XXVIII) to give (XXX) was either performed with dimethyl sulfate or with methyl iodide in the presence of NaH. Subsequent deprotection of the tetrahydropyranyl ether (XXX) in acidic medium furnished alcohol (XII). This was converted to the sulfonate ester (XXXI) upon treatment with benzenesulfonyl chloride and Et3N. Alternatively, alcohol (XII) was converted to the corresponding mesylate as shown in Scheme 1 (5). Finally, condensation of the benzenesulfonate (XXXI) with piperidine (III) in the presence of K2CO3 in refluxing acetonitrile yielded the title compound

参考文献No.693902
标题:A facile synthesis of the novel neurokinin A antagonist SR 48968
作者:Hale, J.J.; Finke, P.E.; MacCross, M.
来源:Bioorg Med Chem Lett 1993,3(2),319
合成路线图解说明:

The intermediate piperidine (III) was prepared from 1-benzyl-4-hydroxy-4-phenylpiperidine (I) via conversion to acetamide (II) by means of a Ritter reaction with acetonitrile and H2SO4, followed by hydrogenolysis of the N-benzyl protecting group

合成路线图解说明:

In a different procedure, 3,4-dichlorophenylacetic acid (XIV) was condensed with the lithiated chiral oxazolidinone (XV), via activation as the mixed anhydride with pivaloyl chloride, to afford the N-acyl oxazolidinone (XVI). Diastereoselective alkylation of the sodium enolate of (XVI) with allyl iodide (XVII) afforded the (S)-pentenyl oxazolidinone (XVIII), which was further hydrolyzed to the chiral acid (XIX) by means of lithium peroxide. Alternatively, acid (XIX) was obtained by alkylation of the lithium dianion of 3,4-dichlorophenylacetic acid (XIV) with allyl bromide (XX), followed by resolution of the resultant racemic acid (XXI) with (S)-1-phenylethylamine. Acid (XIX) was converted to the amide (XXII) via the corresponding acid chloride. Reduction of amide (XXII) with DIBAL gave the secondary amine (XXIII), which was subsequently acylated with benzoyl chloride, yielding benzamide (XXIV). Dihydroxylation of the olefin double bond with N-methylmorpholine-N-oxide in the presence of OsO4, followed by oxidative cleavage of the resultant diol (XXV) with sodium periodate furnished aldehyde (XXVI). Finally, reductive amination of aldehyde (XXVI) with piperidine (III) in the presence of NaBH3CN provided the title compound

Drug Information Express,Drug R&D,Chemical Database,Patent Search.
Copyright © 2006-2026 Drug Future. All rights reserved.Contact Us