【药物名称】(-)-Epigallocatechin gallate, (-)-EGCG, Teavigo
化学结构式(Chemical Structure):
参考文献No.611031
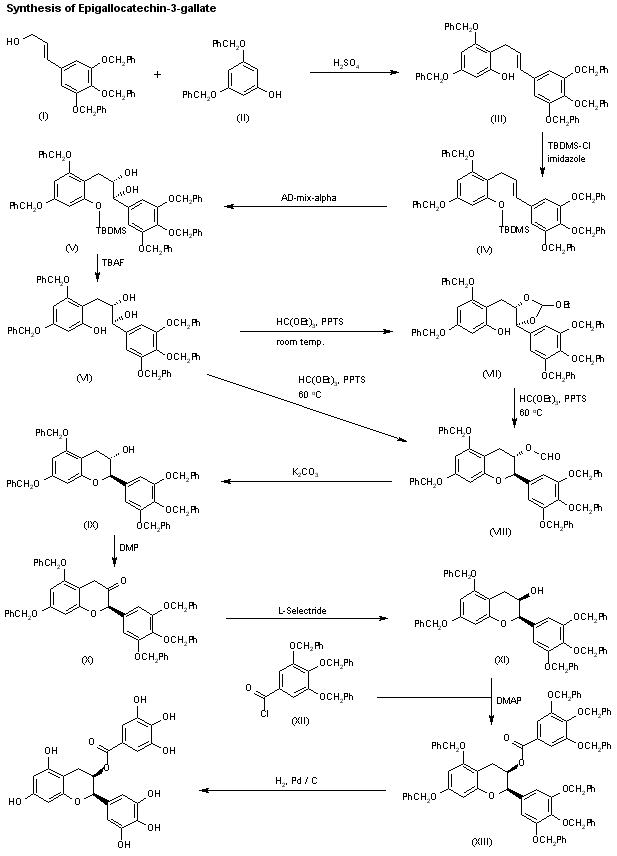
标题:Enantioselective synthesis of epigallocatechin-3-gallate (EGCG), the active polyphenol component from green tea
作者:Li, L.; Chan, T.H.
来源:Org Lett 2001,3(5),739
合成路线图解说明:

An enantioselective synthesis of epigallocatechin-3-gallate has been reported: The condensation of 3,4,5-tris(benzyloxy)cinnamyl alcohol (I) with 3,5-bis(benzyloxy)phenol (II) by means of H2SO4 gives the diphenylpropene derivative (III), which is silylated with TBDMS-Cl and imidazole to yield the silyl ether (IV). The asymmetric dihydroxylation of (IV) with AD-mix-alpha affords diol (V), which is desilylated with TBAF in THF providing the trihydroxy compound (VI). Esterification of (VI) with triethyl orthoformate and pyridinium p-toluenesulfonate (PPTS) at room temperature gives the cyclic orthoester (VII), which is treated with the same reactants at 60 癈 to yield the benzopyran (VIII). Compound (VIII) can also be obtained directly from (VI) by treatment with triethyl orthoformate and PPTS at 60 癈. The hydrolysis of the formate group of (VIII) with K2CO3 in methanol affords alcohol (IX), which is oxidized to the corresponding ketone (X) with Dess-Martin periodinane (DMP) in dichloromethane. The reduction of (X) with L-Selectride in THF provides the chiral cis-alcohol (XI), which is esterified with 3,4,5-tris(benzyloxy)benzoyl chloride (XII) and DMAP in dichloromethane giving rise to the protected ester (XIII). Finally, this compound is debenzylated by hydrogenation with H2 over Pd/C in methanol/THF.

Drug Information Express,Drug R&D,Chemical Database,Patent Search.
Copyright © 2006-2026 Drug Future. All rights reserved.Contact Us