【药物名称】alpha-Methyltryptophan, 1MT
化学结构式(Chemical Structure):
参考文献No.323866
标题:A facile method for the asymmetric synthesis of alpha-methyltryptophan
作者:Zhang, L.J.; Finn, J.M.
来源:J Org Chem 1995,60(17),5719
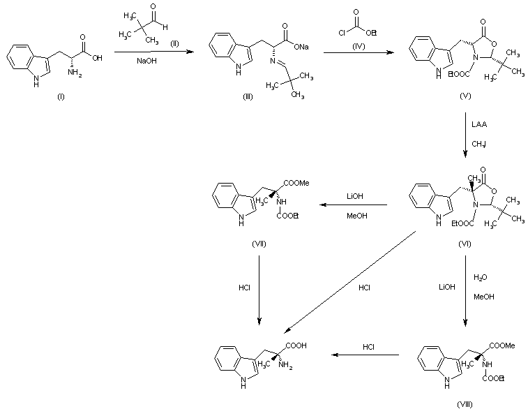
合成路线图解说明:

This compound has been obtained by three related ways: 1) The condensation of (R)-tryptophan (I) with 2,2-dimethylpropanal (II) by means of NaOH in refluxing methanol yields the corresponding inmine (III), which is cyclized with ethyl chloroformate (IV) in dichloromethane to afford the oxazolidine (V). the regioselective methylation of (V) with methyl iodide and lithium diisopropylamide (LDA) in THF gives the new methylated oxazolidine (VI), which is finally hydrolyzed with refluxing 6N HCl. 2) Ring opening of oxazolidine (VI) with LiOH in methanol gives (R)-N-(ethoxycarbonyl)-alpha-methyltryptophan methyl ester (VII), which is hydrolyzed with 6N HCl as before. 3) Ring opening of oxazolidine (VI) with LiOH in methanol/water gives (R)-N-(ethoxycarbonyl)-alpha-methyltryptophan (VIII), which is hydrolyzed with 6N HCl as before.

Drug Information Express,Drug R&D,Chemical Database,Patent Search.
Copyright © 2006-2026 Drug Future. All rights reserved.Contact Us