【药物名称】Indisetron hydrochloride, N-3389, Indisetron HCl Nisshin, Sinseron
化学结构式(Chemical Structure):
参考文献No.20211
标题:Azabicyclo derivs. and their use as antiemetics
作者:Kikuchi, H.; Satoh, H.; Yahata, N.; Hagihara, K.; Hayakawa, T.; Mino, S.; Yanai, M. (Nisshin Flour Milling Co., Ltd.)
来源:EP 0469449; JP 1993310749; US 5187166
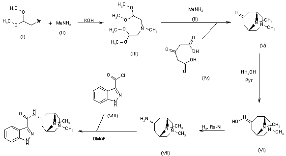
合成路线图解说明:

The condensation of bromoacetaldehyde dimethyl acetal (I) with methylamine (II) by means of KOH in refluxing ethylene glycol gives bis(2,2-dimethoxyethyl)methylamine (III), which is cyclized with acetonedicarboxylic acid (IV) and more methylamine (II), yielding 3,9-dimethyl-3,9-diazabicyclo[3.3.1]nonan-7-one (V). The reaction of (V) with hydroxylamine affords the corresponding oxime (VI), which is reduced with H2 over RaNi in ethanol giving endo-3,9-dimethyl-3,9-diazabicyclo[3.3.1]nonan-7-amine (VII). Finally, this compound is condensed with 1H-indazole-3-carbonyl chloride (VIII) by means of dimethylaminopyridine (DMAP) in pyridine.

参考文献No.310410
标题:N-3389
作者:Casta馿r, J.; Rabasseda, X.; Mealy, N.
来源:Drugs Fut 1995,20(8),780
合成路线图解说明:

The condensation of bromoacetaldehyde dimethyl acetal (I) with methylamine (II) by means of KOH in refluxing ethylene glycol gives bis(2,2-dimethoxyethyl)methylamine (III), which is cyclized with acetonedicarboxylic acid (IV) and more methylamine (II), yielding 3,9-dimethyl-3,9-diazabicyclo[3.3.1]nonan-7-one (V). The reaction of (V) with hydroxylamine affords the corresponding oxime (VI), which is reduced with H2 over RaNi in ethanol giving endo-3,9-dimethyl-3,9-diazabicyclo[3.3.1]nonan-7-amine (VII). Finally, this compound is condensed with 1H-indazole-3-carbonyl chloride (VIII) by means of dimethylaminopyridine (DMAP) in pyridine.

Drug Information Express,Drug R&D,Chemical Database,Patent Search.
Copyright © 2006-2026 Drug Future. All rights reserved.Contact Us