【药物名称】Filaminast, WAY-PDA-641, PDA-641
化学结构式(Chemical Structure):
参考文献No.16983
标题:Oxime-carbamates and oxime-carbonates as bronchodilators and anti-inflammatory agents
作者:Lombardo, L.J. (American Home Products Corp.)
来源:EP 0470805; GB 2246777; JP 1992253945; US 5124455
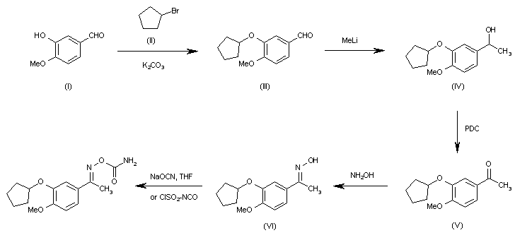
合成路线图解说明:

The alkylation of isovanillin (I) with cyclopentyl bromide (II) and K2CO3 in DMF gives 3-(cyclopentyloxy)-4-methoxybenzaldehyde (III), which is methylated with MeLi in THF yielding the 1-phenylethanol (IV). The oxidation of (IV) with pyridinium dichromate (PDC) in dichloromethane affords the corresponding acetophenone (V), which is treated with NH2OH in pyridine to afford the oxime (VI). Finally, this oxime is treated with NaOCN and TFA in dichloromethane, or with chlorosulfonyl isocyanate in THF.

Drug Information Express,Drug R&D,Chemical Database,Patent Search.
Copyright © 2006-2026 Drug Future. All rights reserved.Contact Us